題組內容
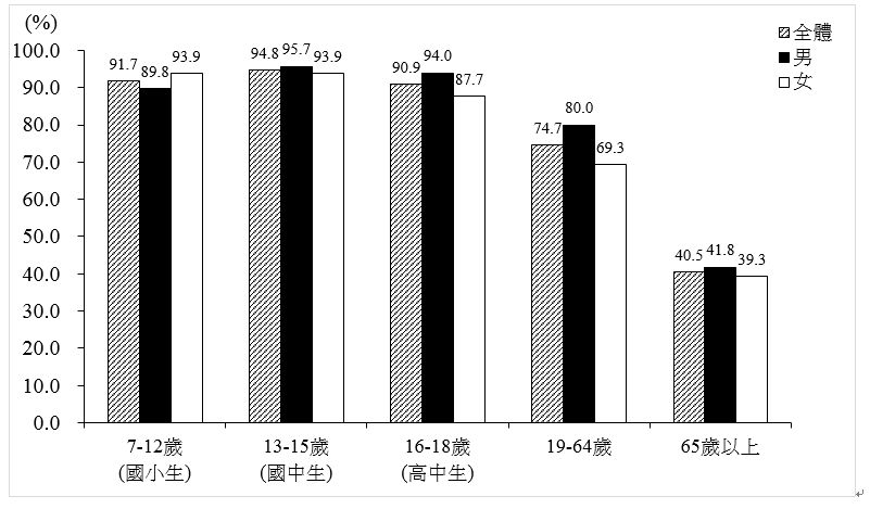
一、 糖對身體是有好處的,運動過後或飢餓時,適當地補充糖會讓我們迅速恢復體力。科學研究也發現,大腦細胞的能量來源主要來自葡萄糖,當血糖濃度降低時,大腦難以順利運轉,容易注意力不集中,學習或做事效果不佳。不過,哈佛醫學院等多個研究機構指出,高糖飲食會增加罹患乳癌及憂鬱症等疾病的風險;世界衛生組織也指出,高糖飲食是造成體重過重、第二型糖尿病、蛀牙、心臟病的元兇,並建議每日飲食中「添加糖」的攝取量不宜超過總熱量的10%。以每日熱量攝取量2000大卡為例,也就是50公克糖。我國國民健康署於民國103年至106年的「國民營養健康狀況變遷調查」中,有關國人飲用含糖飲料的結果如圖1、圖2所示。
請分項回答下列問題。
問題(二):讀完以上材料,對於「中、小學校園禁止含糖飲料」,你贊成或反對?請撰寫一篇短文,提出你的看法與論述。文長限400字以內(至多19行)。(占21分)
詳解 (共 1 筆)
詳解
全面禁止帶來的是適得其反,反而可能激起學生的反抗心理,出了校外,又有誰會在乎校內的規定?