阿摩線上測驗
登入
首頁
>
【段考】國一數學上學期
>
108年 - 2019臺北市市立新興國中七年級108 上學期數學第一次段考(期中考)南一#87797
> 申論題
沒有 【段考】國一數學上學期 權限,請先開通.
詳解 (共 1 筆)
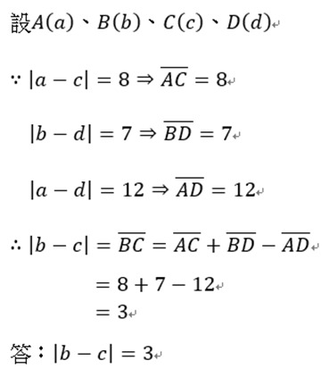
詳解
提供者:lisa-tine
相關申論題
沒有 【段考】國一數學上學期 權限,請先開通.
#354624
沒有 【段考】國一數學上學期 權限,請先開通.
#354626
沒有 【段考】國一數學上學期 權限,請先開通.
#354627
沒有 【段考】國一數學上學期 權限,請先開通.
#354628
沒有 【段考】國一數學上學期 權限,請先開通.
#354629
沒有 【段考】國一數學上學期 權限,請先開通.
#354630
沒有 【段考】國一數學上學期 權限,請先開通.
#354631
沒有 【段考】國一數學上學期 權限,請先開通.
#354632
沒有 【段考】國一數學上學期 權限,請先開通.
#354633
沒有 【段考】國一數學上學期 權限,請先開通.
#354634
相關試卷
111年 - 南一課本例題習作輕鬆考#111773
111年 · #111773
111年 - 111-1高雄市立林園高級中學 國中部一年級第1次段考(數學科)#111771
111年 · #111771
111年 - 桃園市立中興國民中學 111學年度第一學期 七年級第一次定期評量數學科#111770
111年 · #111770
111年 - 桃園市新興高中附設國中部111學年度第一學期七年級數學科第一次段考試卷#110939
111年 · #110939
111年 - 桃園市新興高中附設國中部111學年度第一學期七年級數學科第一次週考試卷(第一單元)#110921
111年 · #110921
111年 - 國一上數學總複習#106519
111年 · #106519
111年 - 康軒版七上數學科第三章_一元一次方程式#105866
111年 · #105866
110年 - 110 高雄市立陽明國中第1學期第 3 次段考一年級數學科試題#112646
110年 · #112646
110年 - 台南市立民德國中110學年度第一學期第二次成績考查一年級數學科試題#112062
110年 · #112062
110年 - 高雄市私立道明中學110上第二次段考7年級數學科試卷#112040
110年 · #112040