阿摩線上測驗
登入
首頁
>
【段考】高一數學
>
98年 - 98上3高一數學 - 臺中市市立惠文高中98 上學期高一數學第三次段考(期末考)#55269
> 申論題
題組內容
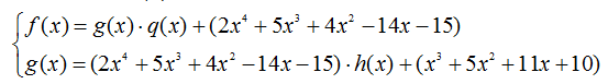
6. 設 f(x)與g(x) 為整係數多項式,次數皆不低於5次,已知 f(x)與g(x) 的關係為
,試回答下面問題:
沒有 【段考】高一數學 權限,請先開通.
相關申論題
沒有 【段考】高一數學 權限,請先開通.
#206248
沒有 【段考】高一數學 權限,請先開通.
#206249
沒有 【段考】高一數學 權限,請先開通.
#206250
沒有 【段考】高一數學 權限,請先開通.
#206251
沒有 【段考】高一數學 權限,請先開通.
#206252
沒有 【段考】高一數學 權限,請先開通.
#206253
沒有 【段考】高一數學 權限,請先開通.
#206255
沒有 【段考】高一數學 權限,請先開通.
#206256
沒有 【段考】高一數學 權限,請先開通.
#206257
沒有 【段考】高一數學 權限,請先開通.
#206258
相關試卷
110年 - 110-2-1 新民高中初階英文閱讀與寫作練習#108943
110年 · #108943
106年 - 多項式的問題#77274
106年 · #77274
104年 - 104下1高一數學 - 彰化縣縣立田中高中104 下學期高一數學第一次段考(期中考)#51349
104年 · #51349
104年 - 104下1高一數學 - 彰化縣縣立田中高中104 下學期高一數學第一次段考(期中考)#51305
104年 · #51305
104年 - 104上2高一數學 - 彰化縣縣立田中高中104 上學期高一數學第二次段考(期中考)#51295
104年 · #51295
104年 - 104上1高一數學 - 新北市市立三民高中104 上學期高一數學第一次段考(期中考)#51259
104年 · #51259
104年 - 104上2高一數學 - 新北市私立及人高中104 上學期高一數學第二次段考(期中考)#51122
104年 · #51122
104年 - 104上1高一數學 - 新北市私立及人高中104 上學期高一數學第一次段考(期中考)#51117
104年 · #51117
104年 - 台中一中 -104上期考1高一數學#51059
104年 · #51059
103年 - 北一女中第二學期第一次段考一年級數學科試題#79809
103年 · #79809