阿摩線上測驗
登入
首頁
>
【段考】高三數學上學期
>
102年 - 宜蘭高商102-1-2 高3數學(數學統合)_綜1自然#31660
> 申論題
申論題
試卷:102年 - 宜蘭高商102-1-2 高3數學(數學統合)_綜1自然#31660
科目:【段考】高三數學上學期
年份:102年
排序:0
申論題資訊
試卷:
102年 - 宜蘭高商102-1-2 高3數學(數學統合)_綜1自然#31660
科目:
【段考】高三數學上學期
年份:
102年
排序:
0
申論題內容
沒有 【段考】高三數學上學期 權限,請先開通.
詳解 (共 1 筆)
詳解
提供者:paikeacaro
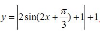
缺少題目
,週期
=