阿摩線上測驗
登入
首頁
>
山坡地工程(包含水土保持工程)
>
99年 - 099年專門職業及技術人員高等建築師、技師暨普通不動產經紀人、記帳士大地工程技師#34974
> 申論題
申論題
試卷:99年 - 099年專門職業及技術人員高等建築師、技師暨普通不動產經紀人、記帳士大地工程技師#34974
科目:山坡地工程(包含水土保持工程)
年份:99年
排序:0
申論題資訊
試卷:
99年 - 099年專門職業及技術人員高等建築師、技師暨普通不動產經紀人、記帳士大地工程技師#34974
科目:
山坡地工程(包含水土保持工程)
年份:
99年
排序:
0
題組內容
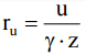
四、位於邊坡內部某一深度(z)之孔隙水壓比(r
u
)定義為
(u:孔隙水壓; γ:土壤單位重= 18 kN/m
3
)。假設一邊坡高度H = 10 m,坡角β = 30°,r
u
= 0.25, 凝聚力c = 20 kPa,內摩擦角φ = 25°
申論題內容
若規範要求之F
s
值為 2.0,該邊坡是否可滿足規範之要 求?不滿足時應如何補救?(10 分)(提示:圖表中之c
d
、φ
d
為發動之凝聚力與摩 擦角。)