阿摩線上測驗
登入
首頁
>
輻射劑量與輻射生物
>
97年 - 97 高等考試_二級_輻射安全:輻射劑量與輻射生物#48966
> 申論題
申論題
試卷:97年 - 97 高等考試_二級_輻射安全:輻射劑量與輻射生物#48966
科目:輻射劑量與輻射生物
年份:97年
排序:0
申論題資訊
試卷:
97年 - 97 高等考試_二級_輻射安全:輻射劑量與輻射生物#48966
科目:
輻射劑量與輻射生物
年份:
97年
排序:
0
題組內容
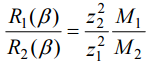
二、若已知二個帶電重粒子在同一初始速度β時,它們在物質中之射程比值約為:
其中,R 為射程;z 和 M 為該粒子之原子序與質量。 R2 ( β ) z1 M 2 今假設一帶有 80 MeV能量之質子,在軟組織之射程為 0.705g/cm
2
,
申論題內容
⑴試求具同樣能量之
3
He
2+
粒子,其在軟組織之射程為何?(7 分)