題組內容
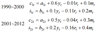
三、行政院主計總處利用 1990~2000 年與 2001~2012 年兩段期間的時間數列資料,驗證 臺灣實質消費與投資函數,分別獲得下列四條迴歸方程式,所有解釋變數的係數值 均為顯著:



分別是消費、投資、實質貨幣餘額、實質產出與長期利率的自然對數值。在其他條件不變下,假設臺灣在 1990~2012 年間的金融環境未出現劇烈變化,試以 IS − LM 模型回答下列問題:
⑴財政部以發行公債融通政府支出增加,而中央銀行維持貨幣數量不變,試問那一 段期間產生的排擠效果較小?(12 分)
詳解 (共 1 筆)
林宜樺
詳解 #1742511
讚