阿摩線上測驗
登入
首頁
>
有機化學
>
96年 - 96 普通考試_化學工程:有機化學概要#42214
> 申論題
題組內容
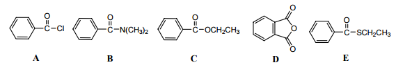
二、針對下列五個化合物之親核性醯基取代(Nucleophilic Acyl Substitution)反應,請 回答下列問題:
⑵由大到小排列上述五個化合物在相同條件下水解反應的反應速率 並解釋其相對 。 大小的原因。(10 分)
相關申論題
⑴畫出 O3 的兩個互為共振的路易斯結構(Lewis structures)。(5 分)
#132668
⑵畫出臭氧與反-2-丁烯(trans-2-butene)反應之反應機制與產物結構。(10 分)
#132669
⑶畫出⑵項產物與雙氧水反應後之產物結構。(5 分)
#132670
⑴以化合物 B 為例,寫出其酸催化之水解反應機構。(10 分)
#132671
⑽
#556103
⑼
#556094
⑻
#556093
⑺
#556092
⑹
#556091
七、某化合物 X 經元素分析得分子式 C7H5O2Cl,其光譜分析數據如下,請 依其光譜數據解出該化合物的化學結構。
#556072
相關試卷
114年 - 114 公務升官等考試_薦任_化學工程:有機化學#133257
114年 · #133257
114年 - 114 調查特種考試_三等_化學鑑識組、醫學鑑識組:有機化學#129586
114年 · #129586
114年 - 114 一般警察特種考試_二等_刑事鑑識人員材料及化學物品鑑析組:有機化學#127790
114年 · #127790
114年 - 114 關務特種考試_三等_化學工程(選試英文):有機化學#126661
114年 · #126661
114年 - 114 關務特種考試_四等_化學工程(選試英文):有機化學概要#126655
114年 · #126655
113年 - 113 調查特種考試_三等_化學鑑識組、醫學鑑識組:有機化學#122084
113年 · #122084
113年 - 113 關務特種考試_三等_化學工程(選試英文):有機化學#119488
113年 · #119488
113年 - 113 關務特種考試_四等_化學工程(選試英文)、化學工程(選試日文):有機化學概要#119484
113年 · #119484
112年 - 112 地方政府特種考試_四等_化學工程:有機化學概要#118363
112年 · #118363
112年 - 112 地方政府特種考試_三等_化學工程:有機化學#118140
112年 · #118140