阿摩線上測驗
登入
首頁
>
公職◆資料結構
>
98年 - 098年司法人員、98年軍法官3等資料結構#47735
> 申論題
題組內容
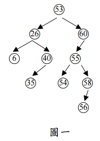
一、圖一為一個二元搜尋樹(binary search tree),每個節點含有一個整數。
⑵請將 53 從圖一刪除。假設每個數刪除後,皆由小於但最接近的數取代。請將結 果的二元搜尋樹畫出。(5 分)
相關申論題
⑴請將 48 加入圖一,並將結果的二元搜尋樹畫出。(5 分)
#164644
⑶請將圖一以前序(preorder)方式表示。(5 分)
#164646
⑷請將圖一以後序(postorder)方式表示。(5 分)
#164647
⑴ A 和 B 那一個是最大堆積(maxheap)?(10 分)
#164648
⑵將 30 加入是最大堆積的那個陣列中,並將結果的最大堆積以陣列的方式列出。 (5 分)
#164649
⑶將最大的數從最大堆積的那個陣列中刪除,並將結果的最大堆積以陣列的方式列 出。(5 分)
#164650
⑴請問呼叫 ppp(4)的回傳值為何?(10 分)
#164651
⑵請問在執行 ppp(4)的過程中,ppp(0)被呼叫幾次? ppp(1)被呼叫幾次?(10 分)
#164652
⑴請將對應此矩陣的有向圖型(directed graph)畫出。(5 分)
#164653
⑵請將此圖型的鄰接表單(adjacency list)畫出。節點請依字母順序由小到大列出。 (5 分)
#164654
相關試卷
115年 - 115 關務特種考試_三等_資訊處理(選試英文):資料結構#138980
115年 · #138980
115年 - 115 身心障礙特種考試_三等_資訊處理:資料結構#138979
115年 · #138979
114年 - 114 地方政府公務特種考試_三等_資訊處理:資料結構#134706
114年 · #134706
114年 - 114 公務升官等考試_薦任_資訊處理:資料結構#133251
114年 · #133251
114年 - 114 高等考試_三級_資訊處理:資料結構#128753
114年 · #128753
114年 - 114 關務特種考試_三等_資訊處理(選試英文):資料結構#126563
114年 · #126563
114年 - 114 身心障礙特種考試_三等_資訊處理:資料結構#126562
114年 · #126562
113年 - 113 地方政府公務、離島地區公務特種考試_三等_資訊處理:資料結構#124511
113年 · #124511
113年 - 113 高等考試_三級_資訊處理:資料結構#121217
113年 · #121217
113年 - 113 關務特種考試_三等_資訊處理(選試英文):資料結構#119489
113年 · #119489