阿摩線上測驗
登入
首頁
>
公職◆資料結構
>
99年 - 099年身心障礙人員3等資料結構#47096
> 申論題
題組內容
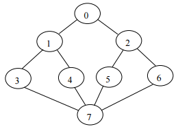
五、參考下圖(graph):
⑶試說明如何以堆疊(stack)完成深度優先搜尋(depth first search)演算法之關鍵 技術。(10 分)
相關申論題
⑴何謂雜湊?有何特點?
#162358
⑵常用的雜湊函數(hashing function)有那些?請寫出三個。
#162359
⑴繪圖說明佇列的意義?試寫出並說明三種佇列上之運算動作(operation)?
#162360
⑵舉一例說明佇列的應用。
#162361
⑴兩個堆疊共用一個陣列(array)空間時,應該如何安排較佳?
#162362
⑵四個堆疊共用一個陣列時,應如何安排較佳?
#162363
⑶上題⑵中,遇到某一堆疊滿溢(stack overflow)時,要如何解決?
#162364
四、設有一多項式如下:(10 分) A( x) = x 4 + 10 x 3 + 3 x 2 + 1 試設計二種資料結構來表示此多項式。
#162365
⑴寫出以深度優先搜尋(depth first search)之順序。(5 分)
#162366
⑵寫出以廣度優先搜尋(breadth first search)之順序。(5 分)
#162367
相關試卷
115年 - 115 關務特種考試_三等_資訊處理(選試英文):資料結構#138980
115年 · #138980
115年 - 115 身心障礙特種考試_三等_資訊處理:資料結構#138979
115年 · #138979
114年 - 114 地方政府公務特種考試_三等_資訊處理:資料結構#134706
114年 · #134706
114年 - 114 公務升官等考試_薦任_資訊處理:資料結構#133251
114年 · #133251
114年 - 114 高等考試_三級_資訊處理:資料結構#128753
114年 · #128753
114年 - 114 關務特種考試_三等_資訊處理(選試英文):資料結構#126563
114年 · #126563
114年 - 114 身心障礙特種考試_三等_資訊處理:資料結構#126562
114年 · #126562
113年 - 113 地方政府公務、離島地區公務特種考試_三等_資訊處理:資料結構#124511
113年 · #124511
113年 - 113 高等考試_三級_資訊處理:資料結構#121217
113年 · #121217
113年 - 113 關務特種考試_三等_資訊處理(選試英文):資料結構#119489
113年 · #119489