阿摩線上測驗
登入
首頁
>
公職◆資料結構
>
102年 - 102年高考三級資料結構#44074
> 申論題
題組內容
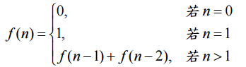
四、函數 f (n)定義如下,其中 n 為非負整數。
⑶請分別說明⑴與⑵所設計演算法的時間複雜度(time complexity)。(10 分)
相關申論題
⑴請畫出完成資料輸入的二元搜尋樹。(6 分)
#143958
⑵從⑴產生的二元搜尋樹中刪除(delete)資料 94,請畫出完成刪除動作後的二元 搜尋樹。(給出一個正確樹即可)(6 分)
#143959
⑶請寫出自二元搜尋樹找到最大值資料所在節點(node)的演算法。(10 分)
#143960
二、請寫出執行下列程式碼的時間複雜度,並敘明理由。(10 分) for (i = 1; i < n; i++){ a = 1; b = n; while( a < b ){ a = 3 * a; b = b / 3; } }
#143961
⑴加入資料 27。(6 分)
#143962
⑵加入資料 45。(6 分)
#143963
⑶加入資料 95。(6 分)
#143964
⑴請設計遞迴演算法,輸入非負整數 n,輸出 f (n)數值。(7 分)
#143965
⑵請設計非遞迴演算法,輸入非負整數 n,輸出 f (n)數值。(7 分)
#143966
⑴依據下圖內容,請寫出它的相鄰矩陣(adjacency matrix)表示法。(4 分)
#143968
相關試卷
115年 - 115 關務特種考試_三等_資訊處理(選試英文):資料結構#138980
115年 · #138980
115年 - 115 身心障礙特種考試_三等_資訊處理:資料結構#138979
115年 · #138979
114年 - 114 地方政府公務特種考試_三等_資訊處理:資料結構#134706
114年 · #134706
114年 - 114 公務升官等考試_薦任_資訊處理:資料結構#133251
114年 · #133251
114年 - 114 高等考試_三級_資訊處理:資料結構#128753
114年 · #128753
114年 - 114 關務特種考試_三等_資訊處理(選試英文):資料結構#126563
114年 · #126563
114年 - 114 身心障礙特種考試_三等_資訊處理:資料結構#126562
114年 · #126562
113年 - 113 地方政府公務、離島地區公務特種考試_三等_資訊處理:資料結構#124511
113年 · #124511
113年 - 113 高等考試_三級_資訊處理:資料結構#121217
113年 · #121217
113年 - 113 關務特種考試_三等_資訊處理(選試英文):資料結構#119489
113年 · #119489