阿摩線上測驗
登入
首頁
>
研究所、轉學考(插大)-微積分
>
84年 - 84 中原大學轉學生招生考試(理、工、資電學院聯招):微積分#125379
> 申論題
題組內容
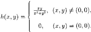
IV. Let
1. Find
and
.
相關申論題
1. = ① , = ②
#533370
2. = ③
#533371
3. = ④
#533372
4. Find the interval ⑤ of convergence of.
#533373
5. Let f(x) = √1 + t² dt for all x, c = f(1), '(c) = ⑥ .
#533374
6. (3x - 5y) dA = ⑦ ,R is the triangle region bounded by the lines y = 5 + x, y = -x + 7, and x = 10.
#533383
7. Find the surface area ⑧ of the portion of the plane x + 2y + 4z = 6 in the first octant.
#533384
8. (z - 2x - y) dz dy dx = ⑨ .
#533385
9. = ⑩ , where R is the region bounded by the lines x - 2y = 1, x - 2y = 2, x + 2y = 1 and x + 2y = 3.
#533386
10. = ⑪ , where D is the solid common to the cylinder x2 + y2 = 1 and the sphere x2 + y2 + z2 = 4.
#533387
相關試卷
114年 - 114 台灣聯合大學系統_學士班轉學生考試試題:微積分#137762
114年 · #137762
114年 - 114 台灣聯合大學系統_學士班轉學生考試試題:微積分#137761
114年 · #137761
114年 - 114 國立臺灣大學_轉學生招生考試_物理學系/土木工程學系/生物環境系統工程學系/生物機電工程學系:微積分(B)#137745
114年 · #137745
114年 - 114 國立臺灣大學_轉學生招生考試_數學系:微積分(A)#137744
114年 · #137744
113年 - 113 國立嘉義大學_轉學生招生考試試題_(全校):微積分#122986
113年 · #122986
112年 - 112 國立臺灣大學_碩士班招生考試題:微積分(D)#130254
112年 · #130254
112年 - 112 國立陽明交通大學_碩士班入學招生試題_統計學研究所﹕微積分與線性代數#130252
112年 · #130252
112年 - 112 國立嘉義大學_轉學生招生考試試題:微積分#123297
112年 · #123297
112年 - 臺灣綜合大學系統112 學年度學士班轉學生聯合招生考試試題 微積分A#120563
112年 · #120563
112年 - 112 臺灣聯合大學系統(清華、陽交、中央 聯招)學士班轉學生考試_A3、A4、A6理工組:微積分#117689
112年 · #117689