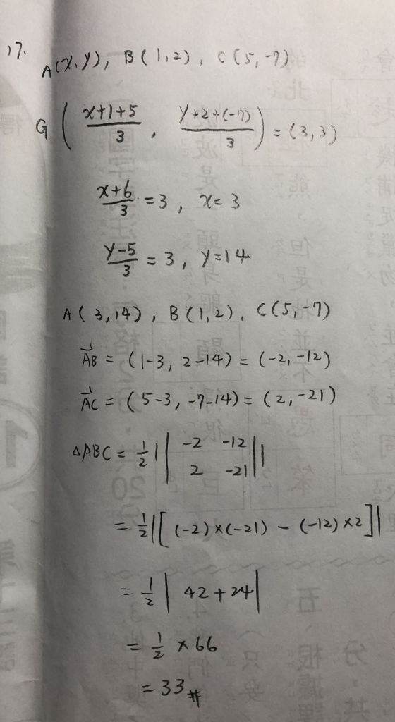
17. 已知G為∆ABC的重心且B(1,2), C (5, −7), G(3,3),則∆ABC的面積為__________。
詳解 (共 2 筆)
Chen Chen
詳解 #5293898

陳怡勳
詳解 #4670066