阿摩線上測驗
登入
首頁
>
台電◆機械及電銲常識
>
106年 - 106 台灣電力公司_新進僱用人員甄試:機械及電銲常識#63881
> 申論題
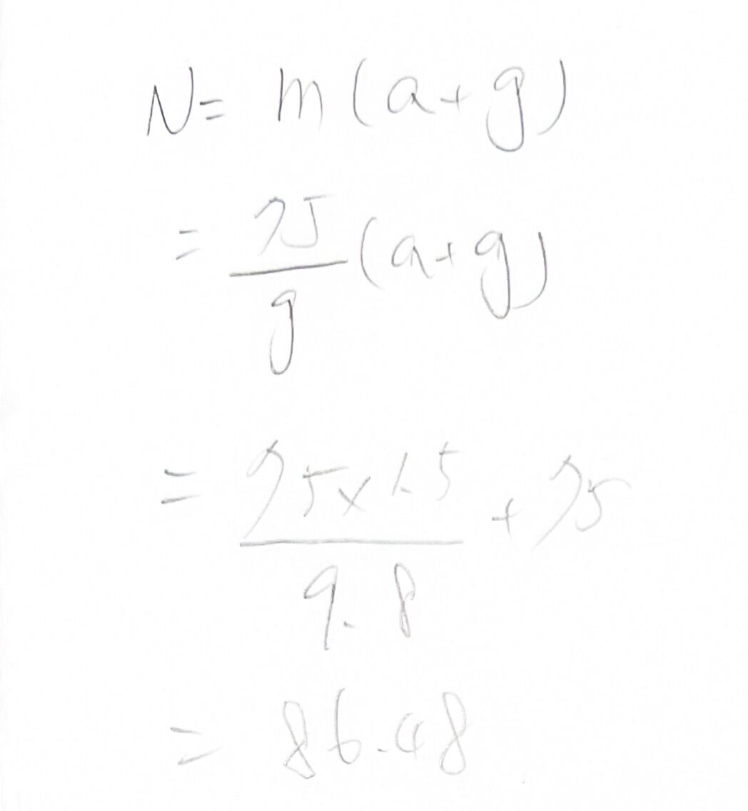
18.體重 75 公斤的人站在電梯車廂中的體重計上,當電梯啟動後,車廂以每秒 1.5 公尺的速度等 速向上行駛,體重計上的讀數為___________公斤。
詳解 (共 4 筆)
洋
詳解 #5552115
2022/07/12
這題怎麼可能75? 答案86.47
(共 19 字,隱藏中)
前往觀看
Tom Wang
詳解 #5803074
2023/05/08
Kevin Hsueh
詳解 #3554942
2019/08/24
75
(共 4 字,隱藏中)
前往觀看
darkwind1492
詳解 #2769299
2018/05/05
75
相關申論題
1.一般常用之熱處理方法有淬火、回火、退火等,銲接後為消除銲道殘餘應力,於銲後常實施 ___________處理,以避免產生銲道龜裂。
#256405
2.將銲條把手接於直流電銲機工作電源___________極時,可使大部分熱量分布在銲條上而少 部分熱量分布到母材,故穿透較淺,銲條融熔較快,適合銲接薄的材料。
#256406
3.電銲電弧熱量之公式為H(Joules/Inch),在其中 S 所代表的意義為___________。
#256407
4.軟銲(Soldering)或硬銲(Brazing)是指將第三種材料加熱變成液體狀態,藉著___________作用 滲入欲連接二塊金屬(材質相同或不相同)之接合處,使三者連接為一體之方法,此時母材並 沒有達到熔化的溫度。
#256408
5.使用交流電銲機時,為避免電銲手把絕緣不良或手觸及銲條蕊造成之感電意外,須於電銲機 二次側增設___________,並確實於銲接作業前檢查該裝置是否正常。
#256409
6.依據 CNS(中國國家標準)銲條規格表示法,手工電銲用被覆銲條 E7016 的最小抗拉強度約為 ___________kg/mm2 。
#256410
7.氧乙炔銲操作時依二種氣體混合比例可產生碳化焰(還原焰)、中性焰、氧化焰三種火焰,其 中溫度最高,火焰最短,嗤嗤有聲的是___________焰。
#256411
8.敏化現象是指沃斯田鐵不銹鋼銲接時,在晶界上析出___________,導致晶界旁邊鉻含量降 低,使得腐蝕容易沿著晶界發生。
#256412
9.鋁材銲接時帶正電荷之離子化氣體會將表面附著力極強的___________清除,以便露出乾淨 的鋁金屬表面,減少銲接困難。
#256413
10.銲接時由於電流太大,電銲速度太快,持用銲條角度不良,操作錯誤等原因造成銲道邊緣母 材凹陷,此種銲道缺陷稱為___________。
#256414
相關試卷
111年 - 96 台灣電力公司_養成班及用人當地化甄試試題:機械製造及電銲常識#123226
111年 · #123226
110年 - 110 台灣電力公司_新進僱用人員甄試試題:專業科目 B(機械及電銲常識)#100715
110年 · #100715
109年 - 109 台灣電力公司_新進僱用人員甄試:機械及電銲常識#86558
109年 · #86558
108年 - 108 台灣電力公司_新進僱用人員甄試:機械及電銲常識#78750
108年 · #78750
107年 - 107-12 台灣電力公司_新進僱用人員甄試:機械及電銲常識#73741
107年 · #73741
107年 - 107-05 台灣電力公司_新進僱用人員甄試:機械及電銲常識#68892
107年 · #68892
106年 - 106 台灣電力公司_新進僱用人員甄試:機械及電銲常識#63881
106年 · #63881
105年 - 105 台灣電力公司_新進僱用人員甄試:機械及電銲常識#53693
105年 · #53693
103年 - 103 台灣電力公司_新進僱用人員甄試:機械及電銲常識#72119
103年 · #72119
101年 - 101 台灣電力公司_養成班及用人當地化甄試題:機械及電銲常識#125622
101年 · #125622