27 已知某國總體資料如下:商品市場:C = 200 + 0.8 ( Y − T );T = 250;I = 300 − 10000i;G = 300貨幣市場:Md = 0.2 Y + 100 − 10000i;Ms/P = 200/P其中 C、I、G、T、Y、i、Md、Ms/P 及 P 分別表消費、投資、政府支出、租稅、所得、利率、實質貨幣需求、實質貨幣供給及物價。試據以求解下列各小題:(每小題 5 分,共 25 分)(一)若假設 P = 1,試求均衡所得 Y*及均衡利率 i*。(二)若假設 P = 1,當政府支出 G 增加 20,會對投資 I 產生多少的排擠?(三)承(二),貨幣供給增加多少可改善對投資 I 產生的排擠。(四)承(二)、(三),財政政策乘數 Kg及貨幣政策乘數 Km各為何?(五)若 P 為未知變數,試求總合需求(AD)曲線方程式。
貨幣市場:Md = 0.2 Y + 100 − 10000i;Ms/P = 200/P
其中 C、I、G、T、Y、i、Md、Ms/P 及 P 分別表消費、投資、政府支出、租稅、所得、利率、實質貨幣需求、實質貨幣供給及物價。試據以求解下列各小題:(每小題 5 分,共 25 分)
(一)若假設 P = 1,試求均衡所得 Y*及均衡利率 i*。
(二)若假設 P = 1,當政府支出 G 增加 20,會對投資 I 產生多少的排擠?
(三)承(二),貨幣供給增加多少可改善對投資 I 產生的排擠。
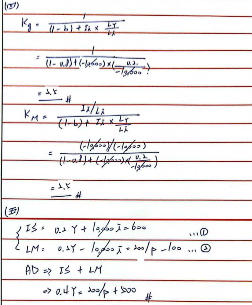
(四)承(二)、(三),財政政策乘數 Kg及貨幣政策乘數 Km各為何?
(五)若 P 為未知變數,試求總合需求(AD)曲線方程式。
詳解 (共 9 筆)
幫按讚
詳解 #4132888
Hsu
詳解 #4095904
政大財政所在職研究生
詳解 #5139644
休息中,暫不回覆!
詳解 #5532868
走得慢沒關係,只要不停下腳步
詳解 #4909797
強尼
詳解 #5619391
EllenCold
詳解 #5048772
一: Y=1750, i=0.025
二:投資被排擠10
三:貨幣供給增加20
四:Kg=2.5 ,Km=2.5
五:Y=1250+500/P
Ash
詳解 #5925341
ling
詳解 #6270467

