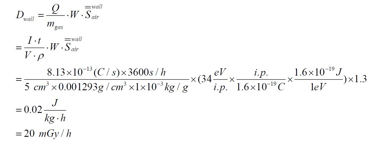
4. 一游離腔的腔壁材質為鋁(密度=2.7 g/cm3),氣體空腔體積為 5 cm3(
= 0.001293 g/cm3),而其腔壁對空氣的質量阻擋本領比(mass stopping power ratio)為 1.3,空氣中每產生一個離子對需消耗 34 eV 的能量,若此游離腔之飽和電流為
安培,根據 Bragg-Gray 空腔理論,求腔壁之吸收劑量率為多少 mGy/h?
詳解 (共 1 筆)
哦八醬
詳解 #6224148
考選部解答
