題組內容
1 Solow growth model (25 points)
Consider a Solow growth model with exogenous technological growth but no population growth.
Let N denote the number of fixed labor supply in each period. Suppose that output is produced
according to the constant return to scale production function,
where Zt, and Kt, denote respectively the labor-augmenting productivity, and capital in period
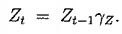
t. In addition, Zt evolves according to
The law of motion for capital stock is
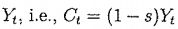
. The aggregate consumption Ct equals a constant fraction, I - s, of aggregate
production,
, and the aggregate investment equals the remaining fraction s of
aggregate production,