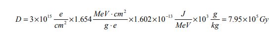
9. 若一薄 LiF 劑量計,受到 T0=20 MeV,通量為 3×1015 e/cm2 的電子束的照射, 試求其劑量(Gy)。(不考慮δ射線)(電子射束的質量衰減係數:1.654 MeV cm2 /g) (10%)
詳解 (共 2 筆)
Goal
詳解 #3479614

林順智
詳解 #3947007