所屬科目:主題課程專用
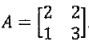
Please find the eigenvalues and eigenvectors of given
Let and f(s) = s4 - 13s3 + 17s2 - 13s + 87. Please find f(A).
Let .Please find f(A), where f(t)=t4-3t3-6t2+7t+2.