阿摩線上測驗
登入
首頁
>
輸配電學
> 100年 - 100年一般警察人員、100年警察人員、100年交通事業鐵路人員考員級_電力工程#33905
100年 - 100年一般警察人員、100年警察人員、100年交通事業鐵路人員考員級_電力工程#33905
科目:
輸配電學 |
年份:
100年 |
選擇題數:
0 |
申論題數:
6
試卷資訊
所屬科目:
輸配電學
選擇題 (0)
申論題 (6)
【已刪除】一、下圖所示交流電路中,電源電壓V之瞬時式為v(t) = 1414.4cos(ωt)伏特(V)。⑴試分別求出電流I、I
R
及I
X
的瞬時式﹔
⑵試問總電流I與電源電壓V的相角差為何?電流相 位為超前或落後?(20 分)
二、一實心圓柱狀鋁導線長 25 km,截面積為 336,400 圓密爾(cmil),已知其在 20℃ 時的電阻係數為 2.8 ×10
-8
Ω -m,試求此鋁導線在 20℃時的直流電阻值R
dc
。(20 分)
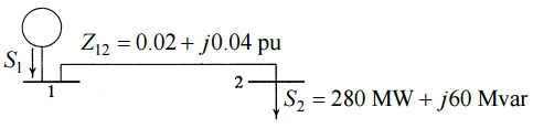
【已刪除】三、有一電力系統如下圖所示,母線 1 是匱乏母線(slack bus),且V
1
= 0.1∠0 ° pu;母線 2 是負載母線(load bus),且S
2
= 280MW+j60Mvar 。輸電線阻抗以100 MVA 為基準為 Z
12
= 0.02+j0.04 pu。若經數次疊代後,母線 2之電壓收歛為V
2
==0.090 −j0.010 pu,試 求S
1
及輸電線之實功率與虛功率耗損。(20 分)
四、某一發電機之額定為 100 MVA、20 kV,其 X''
d
= X
1
=X
2
= 20%、X
0
=5% ,中性 點係透過 0.32 Ω之電抗器接地。X''
d
、X
1
、X
2
及X
0
分別代表此發電機的次暫態電抗 、正序電抗、負序電抗及零序電抗。當此發電機在額定電壓下做無負載運轉,且 尚未與系統併聯時,在其輸出端點發生單相接地故障。試求故障相之次暫態故障 電流。(20 分)
五、超高壓輸電線路(EHV lines)常採用成束導體(bundle conductors),即每相使用 超過 1 條之導線,其主要目的與效益何在?請簡要條列之。(20 分)
相關試卷
114年 - 114 地方政府公務特種考試_四等_電力工程:輸配電學概要#134797
114年 · #134797
114年 - 114 普通考試_電力工程:輸配電學概要#128759
114年 · #128759
113年 - 113 地方政府公務特種考試_四等_電力工程:輸配電學概要#124495
113年 · #124495
113年 - 113 普通考試_電力工程:輸配電學概要#121395
113年 · #121395
112年 - 112 地方政府特種考試_四等_電力工程:輸配電學概要#118361
112年 · #118361
112年 - 112 普通考試_電力工程:輸配電學概要#115762
112年 · #115762
112年 - 112 鐵路特種考試_員級_電力工程:輸配電學概要#114947
112年 · #114947
111年 - 111 地方政府特種考試_四等_電力工程:輸配電學概要#112369
111年 · #112369
111年 - 111 中華郵政股份有限公司_職階人員資產營運及工程類科甄試_專業職一-電子工程:輸配電學概要#111690
111年 · #111690
111年 - 111 中華郵政股份有限公司_職階人員資產營運及工程類科甄試試題_專業職(一)/電力工程:輸配電學概要#111521
111年 · #111521