阿摩線上測驗
登入
首頁
>
天氣學
> 100年 - 100年升官等、關務人員升官等考薦任_氣象#26943
100年 - 100年升官等、關務人員升官等考薦任_氣象#26943
科目:
天氣學 |
年份:
100年 |
選擇題數:
0 |
申論題數:
12
試卷資訊
所屬科目:
天氣學
選擇題 (0)
申論題 (12)
⑴露點溫度(dew-point temperature)
⑵季風(monsoon)
⑶對流可用位能(convective available potential energy)
⑷緯流可用位能(zonal available potential energy)
⑸氣團變性(air mass transformation)
(6)氣壓半日波(semi-diurnal pressure tide)
⑴何謂絕對渦度守恆?吾人如何應用此定理來解釋中緯度西風之波動現象?(10 分)
⑵試寫出在 z 座標中,位渦(potential vorticity)之定義為何?試說明何謂位渦守恆 (conservation of PV),並應用此觀念解釋背風旋生之現象?(15 分)
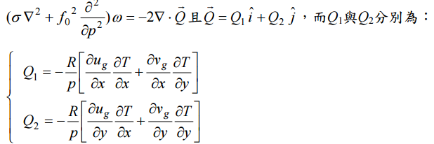
【已刪除】三、設已知 Q 向量形式之準地轉 (quasi-geostrophic,QG) omega 方程如下:
其中,u
g
與v
g
分別為地轉風之x與y分量,其餘符號均一般常用者。試利用此式,說明 伴隨(北半球)中緯度地面高氣壓與低氣壓系統之垂直運動分布形式為何?(15 分)
四、試說明垂直次環流有那兩種熱力形式,而其能量轉換之特徵分別為何?試由地轉調 整之觀點,說明伴隨高層直線噴流條入區,對流層內之垂直次環流分布形式為何, 並討論其作用?(15 分)
⑴引進西南氣流,以及
⑵颱風與東 北季風形成共伴效應之情形分別為何?試討論此兩種情況,如何分別導致臺灣累積 雨量的增加,以及雨量之分布情形為何?(15 分)
相關試卷
115年 - 115 身心障礙特種考試_四等_氣象:天氣學概要(包括基礎天氣分析與基礎大氣動力學)#138926
115年 · #138926
114年 - 114 公務升官等考試_薦任_氣象:天氣學(包括天氣分析與天氣預報)#133183
114年 · #133183
114年 - 114 高等考試_三級_氣象:天氣學(包括天氣分析與天氣預報)#128450
114年 · #128450
114年 - 114 普通考試_氣象:天氣學概要(包括基礎天氣分析與基礎大氣動力學)#128408
114年 · #128408
113年 - 113 台灣電力公司_大學及研究所獎學金甄選試題_綠能氣象與再生能源預測:天氣學與氣候學#129318
113年 · #129318
113年 - 113 普通考試_氣象:天氣學概要(包括基礎天氣分析與基礎大氣動力學)#121220
113年 · #121220
113年 - 113 高等考試_三級_氣象:天氣學(包括天氣分析與天氣預報)#121201
113年 · #121201
112年 - 112 公務升官等考試_薦任_氣象:天氣學(包括天氣分析與天氣預報)#117117
112年 · #117117
112年 - 112 高等考試_三級_氣象:天氣學(包括天氣分析與天氣預報)#115403
112年 · #115403
112年 - 112 普通考試_氣象:天氣學概要(包括基礎天氣分析與基礎大氣動力學)#115322
112年 · #115322