阿摩線上測驗
登入
首頁
>
高考◆大氣動力學
> 100年 - 100年高等三級暨普通考高考三級_氣象#40217
100年 - 100年高等三級暨普通考高考三級_氣象#40217
科目:
高考◆大氣動力學 |
年份:
100年 |
選擇題數:
0 |
申論題數:
8
試卷資訊
所屬科目:
高考◆大氣動力學
選擇題 (0)
申論題 (8)
【已刪除】⑴在慣性絕對座標(absolute frame)與旋轉座標上,向量 A 對時間的全導數具有下列關係
,其中下標 a 表示為絕對座標, Ω 為地球的自轉角速度。 Dt Dt 試利用此式推導出相對於地球旋轉座標的氣塊受至少三種外力作用的運動方程式。 (10 分)
⑵此運動方程式可以使用地球球體座標表示,若僅就其緯向(即東西)速度分量, 證明在無東西向之力矩(torque)作用下,氣塊運動的緯向絕對角動量(absolute angular momentum)M 為保守量。(15 分)
二、請說明準地轉位渦的物理意義及其與槽脊發展的關係,並說明如何利用準地轉位渦 方程及相關方程來預報準地轉環流(重力位、地轉風、溫度)以及非地轉運動(非 地轉風及垂直速度)。(15 分)
三、簡述對稱不穩定(symmetric instability)發生的機制(繪圖說明)。試證明在無地 轉相對渦度情況下,對稱不穩定發生的條件為理查遜數(Richardson number)Ri 小 於 1。(15 分)
四、說明在子午面的平均場位溫分布下,氣塊運動的斜率如何產生斜壓不穩定。試以兩 層模式說明平均場如何提供擾動場能量,以及斜壓波總能量如何得到最大的成長。 (15 分)
五、一個流體以角速度大小 Ω 逆時針方向進行剛體旋轉,形成 Rankine 渦旋,其切線速 度(tangential velocity)為V (r ) = Ω r ,r 為距轉軸的半徑。試依此渦旋流場討論其 渦度分量:風切渦度(shear vorticity)及曲率渦度(curvature vorticity)。若以 r = 0 為中心,正放一個邊長為 R 的正方形(square),再將其順轉 45 度,試求沿此轉動 前、後正方形周邊的封閉路徑的環流量。(10 分)
六、就颱風軸對稱平均流場,試以尺度分析來說明那些地方適用梯度風(gradient wind) 或氣旋流(cyclostrophic flow)。說明對正常低壓的氣旋,以地轉風來估計其平衡 的梯度風將會高估。什麼情況下,地轉風與梯度風二者會反向?就此,颱風流場可 不可能發生?為什麼?(10 分)
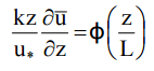
【已刪除】七、在表面層(surface layer),依相似理論(similarity theory),水平的平均風 u 具有 下列無因次關係
其中 k 為 von Karman 常數, u
*
為表面層摩擦速度(friction velocity),
為無因次穩定度函數(L 為長度單位,與亂流通量有關)。利用通量-梯度(Flux-Gradient) 理論,試證明亂流的動量傳送係數 K
m
為
並決定亂流的平均混合長度。(10 分)
相關試卷
114年 - 114 公務升官等考試_薦任_氣象:大氣動力學#133182
114年 · #133182
114年 - 114 高等考試_三級_氣象:大氣動力學#128403
114年 · #128403
113年 - 113 高等考試_三級_氣象:大氣動力學#121506
113年 · #121506
112年 - 112 公務升官等考試_薦任_氣象:大氣動力學#117306
112年 · #117306
112年 - 112 高等考試_三級_氣象:大氣動力學#115412
112年 · #115412
111年 - 111 高等考試_二級_氣象:高等大氣動力學#110948
111年 · #110948
111年 - 111 高等考試_三級_氣象:大氣動力學#109426
111年 · #109426
110年 - 110 公務升官等考試_薦任_氣象:大氣動力學#103685
110年 · #103685
110年 - 110 高等考試_三級_氣象:大氣動力學#102397
110年 · #102397
109年 - 109 高等考試_三級_氣象:大氣動力學#88749
109年 · #88749