所屬科目:壽險數學
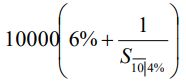
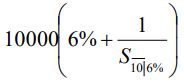
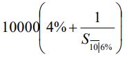
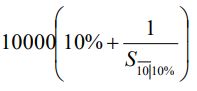
3.某君向銀行借款 10,000,設債權人要求利率 6%,基金利率 4%, 每年年底還款一次,10 年後償還本金,試問每期付款多少元? (A) (B) (C) (D)
4. 某乙向銀行購屋貸款 3,000,000,貸款期間 10 年,銀行提供貸款人利率前五年 =8%,以後利率調為=12% 。 還款方式:前 5 年只付利息,剩下的貸款部分則每月平均攤 還。 請問前五年每月要繳多少錢、第 5 年後每月大約要繳多少錢? (A)20,000;小於等於 6.5 萬 (B)20,000;大於 6.5 萬 (C)30,000;小於等於 6.5 萬 (D)30,000;大於 6.5 萬
6.有一 2 年的選擇與終極表,已知: 對所有 x 滿足。 若求 k=? (A) 54 (B) 55 (C)56 (D) 57
19. 某甲 40 歲,投保終身繳費之終身壽險,保額 50,000 元,其純保費為 550 元,第 20 年末之責任準備金為 5,000,已知 d=0.03,試求為何? (A) 小於 21.7 (B) 大於等於 21.7 小於 21.8 (C) 大於等於 21.8 小於 21.9(D) 大於等於 21.9
20. 保險局規定傳統型保單新契約責任準備金利率如下表:躉繳且負債存續期間≦6,責任準備金利率(I)=1.5% 若某公司設計躉繳六年期定期壽險 ,若其定價時採第四回生命表 90%,保費預定利率 1.75%,則其提存準備金之精算假設應為? (A) 第四回生命表 100%, 預定利率 1.75% (B) 第四回生命表 100%, 預定利率 1.5%, (C) 第四回生命表 90%, 預定利率 1.75% (D) 第四回生命表 90%, 預定利率 1.5%,