所屬科目:壽險數學
1. 甲銀行提供三種投資方案:(1)年利率 i = 4%;(2)年虛利率 i⁽²⁾ = 4%;(3)貼現率 d = 4%。請問哪一種方案的投資報酬率最高? (A) 三種都一樣 (B) 年利率 i = 4% 的報酬率最高 (C) 年虛利率 i⁽²⁾ = 4% 的報酬率最高 (D) 貼現率 d = 4% 的報酬率最高
2. 下列敘述何者錯誤? (A) 長期投資與財務分析多採用複利法 (B) 複利法本利和永遠大於單利法本利和 (C) 複利係指利息自動累加入本金一起投資的計息方式 (D) 折現因子 v 等於 (1+i)⁻¹
3. 下列曲線有幾條為遞減曲線:(1)生存數 lₓ;(2)死亡率 qₓ;(3)死亡數 dₓ。 (A) 零條 (B) 一條 (C) 兩條 (D) 三條
4. eₓ 之計算概念為假設死亡者都在何時死亡? (A) 年初 (B) 年中 (C) 年底 (D) 均勻分布在每一個時點
5. 根據檢選效力消失以後之經驗資料而編成的生命表稱為? (A) 普通生命表 (B) 混合表 (C) 終極表 (D) 檢選表
6. 下列哪一個式子不能用來計算 ₙEₓ? (A) (1+i)⁻ⁿ × ₙpₓ (B)(C)(D)
7.= ? (A)(B)(C)(D)
8. 已知 i > 0,且死亡率隨年齡增加而上升,試比較大小:。 (A) (B)(C)(D)
9. 以下正確有幾項?。 (A) 一項 (B) 兩項 (C) 三項 (D) 四項
10. 事故保費屬於? (A) 收費費用 (B) 維持費用 (C) 新契約費用 (D) 純保費
11. 在保險費繳費期間內,每年負擔同額保險費,稱為? (A) 平準保費 (B) 超額保費 (C) 自然保費 (D) 以上皆非
12. 回顧法係站在誰的觀點計算責任準備金? (A) 受益人 (B) 保險公司 (C) 保戶 (D) 主管機關
13. 解約金應扣減若干解約費用,係因為提前解約行為對誰不利? (A) 對保險公司 (B) 對其他有效保戶 (C) 對保險公司及其他有效保戶 (D) 對保險公司及主管機關
14. 需要以修正制責任準備金來計算準備金,其原因為? (A) 保險公司在續年度需要較多的危險保費 (B) 保險公司在初年度需要較多的附加保費 (C) 保險公司在續年度需要較多的附加保費 (D) 保險公司在初年度需要較多的危險保費
15. 我國之標準保單修正制是以 20 年繳費之何種保險作為基準計算修正制準備金? (A) 20 年期生死合險 (B) 20 年期定期壽險 (C) 20 年期生存保險 (D) 終身保險
16. 依據下列何種特性可以將人壽保險商品分成傳統型商品以及投資型商品? (A) 利率是否固定 (B) 繳費是否彈性 (C) 是否具有更約權 (D) 是否具有分離帳戶
17. 死差紅利 = Y ×(預定死亡率 − 實際經驗死亡率),其中 Y = ? (A) 保單價值準備金 (B) 死亡保險金額 (C) 危險保額 (D) 責任準備金
18. 萬能保險之設計原理是將傳統壽險保單的哪兩個成分拆開? (A) 淨危險保額、保單價值準備金 (B) 死亡保額、保單價值準備金 (C) 淨危險保額、責任準備金 (D) 保險金額、保單價值準備金
19. 萬能保險之資產歸類屬於哪類帳戶? (A) 分離帳戶 (B) 一般帳戶 (C) 由保戶決定歸類於分離帳戶或一般帳戶 (D) 由保險公司決定歸類於分離帳戶或一般帳戶
20. 平衡型基金之風險與報酬特性通常介於哪兩種基金之間? (A) 貨幣型基金與債券型基金 (B) 債券型基金與權益型基金 (C) 貨幣型基金與權益型基金 (D) 特殊型基金與債券型基金
21. GMIB 為何種附保證給付項目? (A) 保證最低年金給付 (B) 保證最低累積給付 (C) 保證最低滿期給付 (D) 保證最低提領給付
22. 精算評估法係應用於附保證給付投資型保單的哪個部分? (A) 評估其現金流量 (B) 計算其責任準備金 (C) 進行保費計算之定價 (D) 以上皆是
23. 我國金管保一字第 09702503741 號令修正發布「人身保險業經營投資型保險業務應提存之各種準備金規範」,其中,保證給付商品責任準備金之資產適足性分析標準不得低於? (A) VaR(65) (B) VaR(75) (C) VaR(95) (D) CTE(65)
24. 純保費法(NPV)係以何種概念計算責任準備金? (A) 公允價值法 (B) 成本攤銷法 (C) 整張保單評估法 (D) 個別元素評估法
25. 台灣壽險業簽證精算報告(AA報告)中,針對何種類型保單要求採現金流量測試法(CFT)來檢視其準備金適足性? (A) 投資型保單 (B) 具儲蓄性質保單 (C) 長年期保單 (D) 利變型保單
26. 在公允價值法下,哪項要素係用來反映因非財務風險所產生未來現金流量之不確定性? (A) 最佳估計負債(BEL) (B) 合約服務邊際(CSM) (C) 風險調整(RA) (D) 以上皆非
27. 保費分攤法(PAA)適用於何種商品? (A) 自由分紅保單 (B) 一年期以下之短年期商品 (C) 利率變動型保單 (D) 以上皆可
28. IFRS 17 係由下列何組織制訂頒布的? (A) 國際精算學會(IAA) (B) 國際保險監理官協會(IAIS) (C) 美國保險監理官協會(NAIC) (D) 國際會計準則理事會(IASB)
29. 我國壽險業 RBC 之安全水準為? (A) VaR(65%) (B) VaR(75%) (C) VaR(95%) (D) VaR(99.5%)
30. 「現時估計值(CE)+風險邊際(MOCE)」為何種準備金制度? (A) ICS (B) IFRS 17 (C) AA 報告 (D) IFRS 4
31. 變額年金保單之投資帳戶價值計算適用於? (A) 年金累積期間 (B) 年金給付期間 (C) 保單有效契約期間 (D) 可與保險公司個別約定
32. (1)變額壽險;(2)變額萬能壽險;(3)變額年金。上述商品有幾種可以設計不停效保證? (A) 皆不能設計不停效保證 (B) 一種 (C) 兩種 (D) 三種
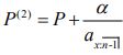
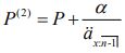
33. x 歲之人投保 n 年期生死合險之年繳純保費為 P,在全期式 Zillmer 式修正制下(分攤期限亦為 n 年),假設扣除額為 α,則 P⁽²⁾ = ? (A)(B)(C)(D)
34. 保險合約群組拆分後,保險公司應於哪個時點起認列所發行之保險合約群組? (A) 第一筆保費繳交日 (B) 認列虧損日 (C) 保障開始日 (D) 上述三項之最早時點
35. 若 l₍₃₀₊ₓ₎ = 85000 × (0.9)ˣ,則 ₁₀p₃₀ = ? (A) ₁₀p₃₀ ≤ 0.300 (B) 0.300 < ₁₀p₃₀ ≤ 0.350 (C) 0.350 < ₁₀p₃₀ ≤ 0.400 (D) 0.400 < ₁₀p₃₀
36. 同第 35 題,則 ₁₀p₆₅ = ? (A) ₁₀p₆₅ ≤ 0.300 (B) 0.300 < ₁₀p₆₅ ≤ 0.350 (C) 0.350 < ₁₀p₆₅ ≤ 0.400 (D) 0.400 < ₁₀p₆₅
37. ₃p₅₅ = ? (A) ₃p₅₅ < 0.600 (B) 0.600 ≤ ₃p₅₅ < 0.650 (C) 0.650 ≤ ₃p₅₅ < 0.700 (D) 0.700 ≤ ₃p₅₅
38. 現年 59 歲的人,在 60 歲到 62 歲間死亡的機率 P 為多少? (A) P < 0.370 (B) 0.370 ≤ P < 0.400 (C) 0.400 ≤ P < 0.430 (D) 0.430 ≤ P
39. 若 i=5%,則 ₅E₆₀ = ? (A) ₅E₆₀ < 0.100 (B) 0.100 ≤ ₅E₆₀ < 0.110 (C) 0.110 ≤ ₅E₆₀ < 0.120 (D) 0.120 ≤ ₅E₆₀
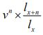
40. 若 i=5%,則= ? (A)(B)(C)(D)
41. 若 i=5%,65 歲的人投保保額 8,000 元之死亡年底給付終身壽險,第一保單年度之保險成本 COI 為多少? (A) COI < 3,000 (B) 3,000 ≤ COI < 3,500 (C) 3,500 ≤ COI < 4,000 (D) 4,000 ≤ COI
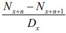
42. Y =,Y = ? (A) Y ≤ 15,000 (B) 15,000 < Y ≤ 16,000 (C) 16,000 < Y ≤ 17,000 (D) 17,000 < Y
43. 甲現年 40 歲,投保保額 10 萬元之遞延 15 年終身壽險,並於遞延期間每年繳納保費 P,則 P 等於? (A) P < 1,000 (B) 1,000 ≤ P < 1,100 (C) 1,100 ≤ P < 1,200 (D) 1,200 ≤ P
44. 承第 43 題,試計算第十年年底之準備金 V。 (A) V < 13,000 (B) 13,000 ≤ V < 14,000 (C) 14,000 ≤ V < 15,000 (D) V ≥ 15,000
45. 乙現年 61 歲投保保額 8 萬元之終身繳費終身壽險,則年繳保費 P 等於? (A) P < 1,600 (B) 1,600 ≤ P < 1,750 (C) 1,750 ≤ P < 1,900 (D) 1,900 ≤ P
46. 承第 45 題,乙決定改為每半年繳納一次保費,則乙每半年需繳納的金額 Y 為多少? (A) Y < 800 (B) 800 ≤ Y < 900 (C) 900 ≤ Y < 1,000 (D) 1,000 ≤ Y
47. 當被保險人在保險年度中死亡時,其該保險年度所未到期之保費仍應繳納,此方式稱為? (A) 年賦保險費 (B) 真實保險費 (C) 比例分攤保險費 (D) 自然保費
48. = ? (A)(B)(C)(D)
49. 若 i = 6%,則每年初支付 500 元之永久年金,其現值 Y = ? (A) Y < 8,000 (B) 8,000 ≤ Y < 8,300 (C) 8,300 ≤ Y < 8,600 (D) 8,600 ≤ Y
50. 某甲投保一保險商品,躉繳純保費為 5萬 ×,若甲於 65.5 歲死亡,則死亡給付為多少錢? (A) 100 萬 (B) 80 萬 (C) 75 萬 (D) 5 萬