所屬科目:壽險數學
2. 李先生預存 100 萬定存,銀行提供三種不同利率方案供他選擇,一年後下列何者可產生較高之收益? (A) i = 4% (B)= 4% (C)= 4% (D) 以上三者皆相同
3. 以下敘述何者為非? (A) (B) (C) (D)(E)一律給分
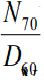
6. 林先生現年 60 歲,預購買 70 歲期末,每年給付 100,000 元之躉繳遞 延年金商品,則他所需支付之躉繳純保費為 (A) 100,000 x (B) 100,000 x (C) 100,000 x (D) 100,000 x
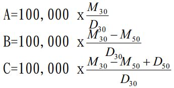
7. 若 A.B.C 分別為三種不同人壽保險金之躉繳純保費, (A) A > B > C (B) B > C > A (C) C > A > B (D) A > C > B
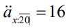
9. 某保險公司經費用分析得到每萬元簽訂新契約保費之費用為 50 元, 佣金為每年總保費之 15%,繳費期間每萬元維持費用為 5 元,收費費 用則為總保費之 2%,若以之每萬元 Ax = 3000 , ,則每萬元總保費為 (A) 小於 200 元 (B) 大於等於 200 元,小於 220 元 (C) 大於等於 220 元,小於 240 元 (D) 大於等於 240 元
10. 下列敘述何者為真 (A) (B) (C) (D) 以上皆非
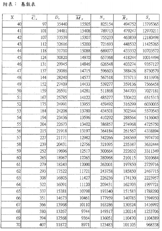
18. 張先生現年 40 歲,欲購買 100 萬保額,10 年繳費終身壽險,每年 須繳納之保險費為 63,000 元,根據附表基數表計算,本保單之附加費用為 (A) 小於 20,000 元 (B) 大於等於 20,000 元,小於 30,000 元 (C) 大於等於 30,000 元,小於 40,000 元 (D) 大於 40,000 元