阿摩線上測驗
登入
首頁
>
力學
> 100年 - 100 公務升官等考試_薦任_物理:力學#45305
100年 - 100 公務升官等考試_薦任_物理:力學#45305
科目:
力學 |
年份:
100年 |
選擇題數:
0 |
申論題數:
6
試卷資訊
所屬科目:
力學
選擇題 (0)
申論題 (6)
【已刪除】 ⑴如果砲台發射一枚砲彈想要擊中此軍事陣地。若此砲彈從砲口射出的初速率為 V, 初速度和水平面的夾角為 θ。請證明 V 和 θ 必須滿足以下方程式才有可能擊中軍 事陣地(假設地球表面附近的重力加速度為 g,並忽略空氣阻力)。(20 分)
⑵為了滿足小題⑴的方程式,砲彈的初速率 V 會有所限制。請證明 V 必須滿足以 下不等式。(10 分)
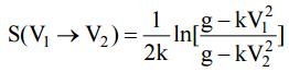
⑴求物體墜落的終端速度(terminal speed)V
f
。(10 分)
⑵在物體墜落的速度由V
1
加速成為V
2
時的這一小段過程裡,物體運動的距離為 S(V
1
→ V
2
) 。請證明:(15 分)
⑶如果一開始物體是以初速率V
0
垂直向上射出,則物體射出後又墜落回到運動一開 始的高度時,其速度為何?(15 分)
三、考慮一個在地面上固定不動的圓球,圓球表面光滑。一個點狀的質點放置在此圓球 的頂點處。若質點與圓球表面之間沒有存在任何摩擦力,則當質點一開始由靜止狀 態由圓球頂點處滑落後,在何處會開始飛離圓球表面?(30 分)
相關試卷
114年 - 114 公務升官等考試_薦任_物理:力學#133258
114年 · #133258
112年 - 112 公務升官等考試_薦任_物理:力學#117333
112年 · #117333
110年 - 110 公務升官等考試_薦任_物理:力學#103699
110年 · #103699
108年 - 108 公務升官等考試_薦任_物理:力學#80534
108年 · #80534
108年 - 108 公務升官等考試_簡任_物理:力學研究#80523
108年 · #80523
106年 - 106 公務升官等考試_薦任_物理:力學#66252
106年 · #66252
104年 - 104 公務升官等考試_薦任_物理:力學#41305
104年 · #41305
102年 - 102 公務升官等考試_簡任_物理:力學研究#43820
102年 · #43820
102年 - 102 公務升官等考試_薦任_物理:力學#43668
102年 · #43668
101年 - 101 專利商標審查特種考試_三等_物理:力學#46026
101年 · #46026