阿摩線上測驗
登入
首頁
>
工程數學(應用數學, 線性代數、微分方程、複變函數與機率)
> 100年 - 100 專技高考_電子工程技師:工程數學(包括線性代數、微分方程、向量分析、複變函數與機率)#37918
100年 - 100 專技高考_電子工程技師:工程數學(包括線性代數、微分方程、向量分析、複變函數與機率)#37918
科目:
工程數學(應用數學, 線性代數、微分方程、複變函數與機率) |
年份:
100年 |
選擇題數:
0 |
申論題數:
8
試卷資訊
所屬科目:
工程數學(應用數學, 線性代數、微分方程、複變函數與機率)
選擇題 (0)
申論題 (8)
一、假設 X 及 Y 是三維歐氏(Euclidean)向量空間中的向量,證明其外積(cross product)即 必垂直於 X 及 Y。(5 分)
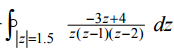
【已刪除】二、試以複變理論求積分
。(10 分)
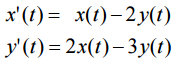
【已刪除】三、⑴試以時域(time-domain)方式,求解下列聯立微分方程:
其中 x(0)=1,y(0)=0 。(20 分)
⑵試以拉普拉斯轉換(Laplace transform)方式求解上小題⑴之聯立微分方程。 (15 分)
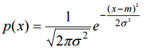
【已刪除】四、假 設 X 為高斯隨機變數( Gaussian random variable ),其機率密度為
,試求其二階矩( second moment)E[X
2
]。(15 分)
⑴求矩陣 A 之特徵值及特徵向量。(10 分)
⑵求矩陣 f (A)之特徵值及特徵向量。(15 分)
⑶試問矩陣 f (A) 之特徵值與矩陣 A 之特徵值,兩者之間滿足何種關係?(10 分)
相關試卷
114年 - 114 專技高考_電機工程技師:工程數學(包括線性代數、微分方程、複變函數與機率)#133679
114年 · #133679
114年 - 114 專技高考_電子工程技師:工程數學(包括線性代數、微分方程、向量分析、複變函數與機率)#133677
114年 · #133677
114年 - 114 調查特種考試_三等_電子科學組:工程數學#129578
114年 · #129578
114年 - 114 國家安全情報特種考試_三等_電子組(選試英文):工程數學#127780
114年 · #127780
113年 - 113 專技高考_電子工程技師:工程數學(包括線性代數、微分方程、向量分析、複變函數與機率)#123976
113年 · #123976
113年 - 113 專技高考_電機工程技師:工程數學(包括線性代數、微分方程、複變函數與機率)#123971
113年 · #123971
113年 - 113 調查特種考試_三等_電子科學組:工程數學#122110
113年 · #122110
113年 - 113 身心障礙特種考試_三等_電力工程:工程數學#119517
113年 · #119517
112年 - 112 地方政府特種考試_三等_電力工程、電子工程:工程數學#118376
112年 · #118376
112年 - 112 專技高考_電機工程技師:工程數學(包括線性代數、微分方程、複變函數與機率)#117639
112年 · #117639