阿摩線上測驗
登入
首頁
>
公職◆渠道水力學
> 100年 - 100-2 專技高考_水利工程技師:渠道水力學#33797
100年 - 100-2 專技高考_水利工程技師:渠道水力學#33797
科目:
公職◆渠道水力學 |
年份:
100年 |
選擇題數:
0 |
申論題數:
11
試卷資訊
所屬科目:
公職◆渠道水力學
選擇題 (0)
申論題 (11)
⑴寫出此渠流比能 E(Specific energy)之方程式。(5 分)
⑵寫出此渠流比力 F(Specific force)之方程式。(5 分)
⑶說明此渠流在臨界流(Critical flow)條件下,比能、比力及福祿數(Froude number)之特徵。(5 分)
⑷推求臨界流條件下,流量與通水斷面積及水面寬度之關係式。(10 分)
二、試說明何謂曼寧流速公式(Manning’s velocity formula),並利用此公式計算通過某 等寬矩形混凝土渠槽之平均流速及流量。假設該渠槽之寬度 B 為 1.2 公尺、渠床坡 度 S 為 0.001、正常水深 H 為 0.6 公尺、曼寧係數 n 為 0.014。(25 分)
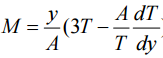
【已刪除】⑴推導第一水力指數 M 之估算關係式
) 。(10 分)
⑵推求矩形渠道的 M 值。(7 分)
⑶推求三角形渠道的 M 值。(8 分)
⑴水躍後之福祿數F
r2
。(5 分)
⑵單位寬度流量 q。(10 分)
⑶水躍能量損失E
L
。(10 分)
相關試卷
114年 - 114 地方政府公務特種考試_三等_水利工程:渠道水力學#134750
114年 · #134750
114年 - 114 專技高考_水利工程技師:渠道水力學#133580
114年 · #133580
114年 - 114 高等考試_二級_水利工程:渠道水力學#131584
114年 · #131584
114年 - 114 高等考試_三級_水利工程:渠道水力學#128731
114年 · #128731
113年 - 113 地方政府公務特種考試_三等_水利工程:渠道水力學#124529
113年 · #124529
113年 - 113 專技高考_水利工程技師:渠道水力學#123919
113年 · #123919
113年 - 113 高等考試_二級_水利工程:渠道水力學#123047
113年 · #123047
113年 - 113 高等考試_三級_水利工程:渠道水力學#121492
113年 · #121492
112年 - 112 地方政府特種考試_三等_水利工程:渠道水力學#118350
112年 · #118350
112年 - 112 專技高考_水利工程技師:渠道水力學#117621
112年 · #117621