阿摩線上測驗
登入
首頁
>
鋼結構設計
> 101年 - 101年專門職業及技術人員高等建築師、技師、第二次食品技師暨普通不動產經紀人、記帳士考高等_結構工程技師#26362
101年 - 101年專門職業及技術人員高等建築師、技師、第二次食品技師暨普通不動產經紀人、記帳士考高等_結構工程技師#26362
科目:
鋼結構設計 |
年份:
101年 |
選擇題數:
0 |
申論題數:
5
試卷資訊
所屬科目:
鋼結構設計
選擇題 (0)
申論題 (5)
【已刪除】一、有一ASTM A572 Gr.50 之W14×90 簡支鋼梁,梁長 10 m,在梁兩端(一端為鉸接支承 ,另一端為滾支承)均有側向支撐,梁全長承受向下均佈的工作靜載重為 5.8 kN/m( 包含梁自重)及向下均佈的工作活載重為W
L
(kN/m),利用極限設計法(LRFD)設 計此梁強軸彎矩強度所能承載之最大活載重W
L
。(25 分)
⑴請說明韌性抗彎矩構架接頭所需的塑性轉角需求規定。(7 分)
⑵請說明在韌性抗彎矩構架中梁塑鉸區設置側向支撐之目的及設計原則,並繪圖表 示如何施作。(18 分)
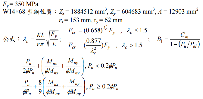
【已刪除】三、有一鋼造斜撐構架系統,經過載重組合分析後得柱軸力 800 kN,柱底端強軸彎矩為 100 kN-m,弱軸彎矩為 50 kN-m,柱底端為固接端,另一端為鉸接端,此柱在強軸 及弱軸的有效長度(KL)均為 4.5 m,請利用極限設計法(LRFD)檢核此柱所承受 之軸力彎矩需求強度比是否符合設計需求。(25 分) 柱為 ASTM A572 Gr.50 之 W14×68,鋼材及斷面性質如下:
【已刪除】四、如下圖所示鋼結構梁柱接頭示意圖,梁翼板與柱採用全滲透銲接,梁腹板與柱的剪 力板(180 mm 長及 80 mm 寬)採用栓接,經過載重組合分析後得梁剪力 180 kN, 假設柱的剪力板只傳遞梁剪力至柱,請依極限設計法(LRFD)設計剪力板的厚度 及所需的螺栓數目,並以圖示方式說明螺栓於剪力板的配置(距柱面 40 mm 處)。 螺栓採用直徑 20 mm 的 A325 承壓型強度,螺栓標稱剪力強度為 330 MPa,剪力板 材質為 A36 鋼板。(25 分) 剪力板材質:F
y
= 248 MPa、F
u
= 400 MPa 承壓強度公式: Rn=1.2L
c
tF
u
≤ 2.4 dtF
u
相關試卷
114年 - 114 專技高考_結構工程技師:鋼結構設計#133713
114年 · #133713
113年 - 113 專技高考_結構工程技師:鋼結構設計#123967
113年 · #123967
112年 - 112 專技高考_結構工程技師:鋼結構設計#117665
112年 · #117665
111年 - 111 專技高考_結構工程技師:鋼結構設計#111797
111年 · #111797
110年 - 110 專技高考_結構工程技師:鋼結構設計#104227
110年 · #104227
109年 - 109 專技高考_結構工程技師:鋼結構設計#93294
109年 · #93294
109年 - 109 司法特種考試_三等_司法事務官營繕工程事務組、檢察事務官營繕工程組:結構設計(包括鋼筋混凝土設計與鋼結構設計)#90087
109年 · #90087
108年 - 108 專技高考_結構工程技師:鋼結構設計#80845
108年 · #80845
107年 - 107 專技高考 鋼結構設計#72981
107年 · #72981
106年 - 第二次專技高考/鋼結構設計#66504
106年 · #66504