阿摩線上測驗
登入
首頁
>
程式設計
> 101年 - 101年警察人員、101年一般警察人員、101年交通事業鐵路人員考員級_資訊處理#33788
101年 - 101年警察人員、101年一般警察人員、101年交通事業鐵路人員考員級_資訊處理#33788
科目:
程式設計 |
年份:
101年 |
選擇題數:
0 |
申論題數:
7
試卷資訊
所屬科目:
程式設計
選擇題 (0)
申論題 (7)
一、請將以下 C++程式 cout 的結果(程式中標示(a)-(f)者),依序寫出來。(24 分)
int a = 3, b = 4, c = 10;
cout << (a * b) / c << endl; // (a)
cout << (a * b) / (double) c << endl; // (b)
int i = 1, d = 1;
for (i = 1; i < 6; i += 2)
d *= i;
cout << d << endl; // (c)
cout << i << endl; // (d)
char e = 'A';
cout << (e == 'a') << endl; // (e)
cout << e + 1 << endl; // (f)
(a)
(b)
(c)
(d)
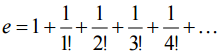
【已刪除】三、撰寫一程式:(26 分) 輸入:自主控台(console)讀入一個正整數 n(已知 n>0)。 輸出:顯示 e(實數)至主控台 說明:已知
,所以我們可以利用這個公式求 e,其中…的項 數愈多,則 e 的精確度愈高。本題的程式在輸入 n 之後,應依本公式計算出 e 值,程式在計算時,只需計算到公式最前面 n 項為止的結果(例如當 n = 3 時,計算到
)。 備註:n! =1×2× ...× n
四、請使用 C++或 Java 撰寫三個類別(class):shape(形狀)、circle(圓形)與 rectangle(矩形),其中 shape 為抽象類別(abstract class),而 circle 與 rectangle 為 衍生類別(derived class),均繼承 shape。請在 shape 中定義兩個介面(interface), 分別作為運算週長(circumference)與面積(area)的介面,並在 circle 與 rectangle 中分別實作其功能。(26 分)
相關試卷
114年 - 114 地方政府公務特種考試_四等_資訊處理:程式設計概要#134763
114年 · #134763
114年 - 114 專技高考_資訊技師:程式設計#133686
114年 · #133686
114年 - 114 普通考試_資訊處理:程式設計概要#128722
114年 · #128722
114年 - 114 關務特種考試_四等_資訊處理(選試英文):程式設計概要#126658
114年 · #126658
114年 - 114 身心障礙特種考試_四等_資訊處理:程式設計概要#126591
114年 · #126591
113年 - 113 地方政府公務、離島地區公務特種考試_四等_資訊處理:程式設計概要#124356
113年 · #124356
113年 - 113 專技高考_資訊技師:程式設計#123958
113年 · #123958
113年 - 113 普通考試_資訊處理:程式設計概要#121162
113年 · #121162
113年 - 113 關務特種考試_四等_資訊處理(選試英文):程式設計概要#119478
113年 · #119478
112年 - 112 地方政府特種考試_四等_資訊處理:程式設計概要#118364
112年 · #118364