所屬科目:研究所、轉學考(插大)◆綜合化學
1. How many structural isomers does propane have? (A) 3 (B) 2 (C) 1 (D) 5 (E) 4
2. The product of ethane undergoing dehydrogenation is called (A) propene. (B) methene. (C) ethene (D) propane (E) none of these
3. When C4H8 is treated with water and H2SO4, a tertiary alcohol is produced. Which of the following structures could represent C4H8 in this reaction? (A) CH3CH=CHCH3 (B) CH3CH2CH=CH2 (C) CH3C(CH3)=CH3 (D) CH3CH2CH2CH3 (E) none of these
4. With which of the following do alkanes react? (A) boiling nitric acid (B) the strong oxidizing agent KMnO4 (C) boiling aqueous sodium hydroxide to give alcohols (D) concentrated sulfuric acid (E) oxygen to give carbon dioxide and water
5. Which of the following have a cis configuration?
(A) 2 (B) 1 and 2 (C) 2 and 4 (D) 1, 2, and 4 (E) 1 and 4
6. Which of the following compounds is the strongest acid?
(A) 5 (B) 3 (C) 2 (D) 1 (E) 4
7. Consider the compound below. Which of the following is true?
(A) The compound has geometric isomers. (B) The compound is not chiral. (C) The compound exists as 3 stereoisomers. (D) The compound is chiral and does not have geometric isomers. (E) The compound is chiral.
8. Which of the following undergo nitration faster than benzene?
(A) 4 and 5 (B) 2, 3, and 5 (C) 1 and 2 (D) 3 and 4 (E) 1, 4, and 5
9. Table sugar is a disaccharide formed from (A) alpha-D-glucose and fructose. (B) beta-D-glucose and fructose. (C) D-galactose and D-ribose. (D) D-galactose and fructose. (E) none of these
10. Polystyrene is an addition polymer of styrene. What would be the effect if some divinylbenzene were added to styrene and then polymerized?
(A) The second polymer would be made less flammable than pure polystyrene. (B) The polymer would be more flexible. Divinylbenzene acts as a plasticizer. (C) Divinylbenzene would act as a cross-linking agent, making the polymer stronger. (D) There would be no effect on the properties of the polymer. (E) There would be an effect, but it cannot be predicted.
11. Which statement is true? (A) Protein synthesis takes place in the cytoplasm of the cell. (B) Each gene in the DNA molecule codes for a specific protein. (C) Messenger RNA can be found in both the nucleus and the cytoplasm of each cell. (D) When a peptide bond is formed, H2O is produced. (E) All of these statements are true.
12. One member of the following set of compounds is not isoelectronic with the others. Which one is the odd one out? (A) [CN-] (B) N2 (C) CO (D) [NO]+ (E) [O2]2-
13. Which of the following are the Group VI transition metals? (A) Ti, Zr, Hf (B) V, Nb, Ta (C) Cr, Mo, W (D) Mn, Tc, Re (E) Fe, Ru, Os
14. Which of the following molecule or ion contains a C3 axis but no σh plane? (A) NH3 (B) SO3 (C) NO3- (D) BF3 (E) CO3 2-
15. Which of the following octahedral complexes does not have enantiomers? (A) [Cr(en)3]3+ (B) cis-[CoCl2(en)2]+ (C) [Ni(phen)3]2+ (D) trans-[PtCl2(en)2]2+ (E) cis-[RuCl(pyridine)(phen)2]+
16. Which of the following descriptions matches to [S2O3]2-? (A) Readily disproportionates in the presence of Mn2+ (B) A strong reducing agent, oxidized to [S4O6]2- (C) Exists as a tetramer in the solid state (D) A strong oxidizing agent, reduced to [SO4]2- (E) Reacts explosively with H2O
17. Which of the following compounds is potentially explosive and must be treated with caution? (A) KClO4 (B) KCl (C) CaF2 (D) HF (E) BrF3
18. Which of the following compounds is (or are) the most likely product(s) for the reaction between KF and AsF5. (A) [AsF4][KF2] (B) F2, KF, AsF3 (C) K[AsF6] (D) F2, K[AsF4] (E) [AsF2][KF2], F2
19. Lanthanide elements or rare earth metals and their compounds are widely used in the preparation of phosphors and magnets. Which of the following elements is not a lanthanide metals? (A) La (B) Ce (C) Gd (D) Yb (E) U
20. Which of the following metals is not a transition element? (A) Mn (B) Zn (C) Rh (D) Os (E) Au
21. Which of the following processes is expected to be exothermic? (A) Na+(g) + Br-(g) → NaBr(s) (B) Mg(g) → Mg2+(g) + 2 e- (C) MgCl2(s) → Mg(s) + Cl2(g) (D) O(g) + 2 e- → O2-(g) (E) KF(s) → K+(g) + F-(g)
22. Which of the following oxides is likely to be amphoteric in aqueous solution? (A) MgO (B) SnO (C) P2O5 (D) CO2 (E) SO2
23. Which of the following four-coordinate complexes does not display a square-planar geometry? (A) [Ni(CN)4]2- (B) [AgCl4]- (C) [NiCl4]2- (D) RhCl(PPh3)3 (E) [PtCl4]2-
24. Indicate what type of isomerism may be found in [Fe(CN)5(SCN)]4-? (A) ionization isomerism (B) coordination isomerism (C) optical isomerism (D) linkage isomerism (E) geometric isomerism
25. Sulfur reacts with oxygen to produce an environmental pollutant trioxide. The reaction is usually incomplete. In a particular experiment, 2.0 g of S reacts with 2.0 g of O2 produced 1.60 g of SO3. What is the percent yield of SO3 in this experiment? (A) 80 (B) 48 (C) 40 (D) 30 (E) 20
26. Which solution has the same number of moles of solute Na as in the 40.00 mL 0.100 M solution of NaOH? (A) 20.00 mL 0.200 M solution of NaCl (B) 20.00 mL 0.050 M solution of NaCl (C) 80.00 mL 0.200 M solution of NaCl (D) 100.00 mL of 0.025 M solution of NaCl (E) none of the above
27. A gas mixture of He, Ne, and Ar exhibits a total pressure of 5.0 atm. What is the mole fraction of He if the partial pressure of Ne and Ar is 1.0 and 1.5 atm, respectively. (A) 0.100 (B) 0.150 (C) 0.200 (D) 0.300 (E) 0.500
28. A 250-mL round-bottom flask weighs 115.10 g. A few milliliters of an easily vaporized liquid are added to the flask. The flask is immersed in a boiling water bath. All liquid vaporizes and fills the entire flask. The flask is then removed from the bath, cooled, dried, and reweighed to gain 115.47 g. Assume the ambient pressure is 1 atm, which of the following compounds could this liquid be? (A) CH3OH (B) C2H5OH (C) CH3OCH3 (D) C3H7OH (E) CH3OC3H5
29. Formic acid (HCOOH) possesses a Ka of 1.8x10-4. What is the pH of a 0.35 M aqueous solution containing sodium formate (HCOONa)? (A) 4.8 (B) 5.6 (C) 6.8 (D) 8.6 (E) 11.0
30. Which is the strongest acid among the following? (A) HIO2 (B) HIO3 (C) HIO4 (D) HIO (E) the same for all above
31. Trace determination of Pb in fish requires dry-ashing of the salted fish sample. Which of the following precautions is particularly important? (A) The temperature should not be too high or else the Pb is volatized (B) A Pt or Ni crucible should be used to avoid Pb adsorption from other crucible (C) The sample should be heated to at least 700 °C to ensure complete oxidation (D) the sample should be digested in a close environment to avoid contamination (E) A high grade acid should be used to assist complete digestion and minimize contamination
32. The analysis of fatty acids by gas chromatograph usually involves (A) to combust them to CO2 (B) to reduce them to corresponding hydrocarbons (C) to convert them into their trimethylsilyl esters (D) to convert them into their methyl esters (E) to pyrolyze them
33. Which of the following acids or solvents is most suitable to clean Si wafer exposed to air? (A) CH2Cl2 (B) C6H14 (C) HF (D) HNO3 (E) H2SO4
34. Which of the following separations could be achieved by ion exchange or ion-exchange chromatography? (A) Mixture of U235 and U238 (B) Mixture of sea salt and mineral salt (C) Mixture of dyes (D) Mixture of simple sugars (E) Mixture of alcohols
35. Fourier transform concept is extensively used in many chemical instruments. Which of the following instruments is an exception that does not have a Fourier transform configuration? (A) NMR (B) MS (C) IR (D) Raman (E) UV
36. The determination of Na by flame atomic absorption spectrometry usually uses an internal standard. Which of the following elements or compounds is the most appropriate internal standard? (A) Li (B) Mg (C) K (D) CH3OH (E) bromofluorobenzene
37. Which of the following information sorters is for a photometer? (A) Mass analyzer (B) Filter (C) Cell potential (D) Glass electrode (E) Monochromator
38. For one of simple Hückel molecular orbitals for the π electrons in butadiene shown below, what is the symmetry for this molecular orbital?
(A) a1g (B) a1u (C) b1g (D) b1u (E) e1u
39. The molecular orbital shown above should be a (A) HOMO (highest occupied molecular orbital) (B) HOMO-1 (C) LUMO (lowest unoccupied molecular orbital) (D) LUMO+1 (E) LUMO+2
40. The degeneracy of the electronic ground state of carbon atom is (A) 1 (B) 3 (C) 5 (D) 7 (E) 11
41. Shown below is a normal mode vibrational motion for formaldehyde (H2CO). The motion is mainly for symmetric stretching of the moiety CH2. If this is for the electronic ground state the vibrational frequency is close to
(A) 1000 cm-1 (B) 1500 cm-1 (C) 2800 cm-1 (D) 3300 cm-1 (E) 3600 cm-1
42. The vibrational mode depicted in the previous question is (A) both IR and Raman active (B) IR active only (C) Raman active only (D) both IR and Raman inactive (E) transition dipole moment = 0
43. The plot below shows a wavefunction distribution for a quantum mechanical harmonic oscillator. This wavefunction shows to have partial probability crossing both classical turning points. What is the vibrational level for this wavefunction? v = ?
(A) 1 (B) 2 (C) 3 (D) 4 (E) 5
44. This figure (below) shows a radial function Rnl(r) vs. distance r for the hydrogen atom. This is for atomic orbital
(A) 2s (B) 3s (C) 3p (D) 3d (E) 4s
45. Given a rotational constant for H35Cl, 10.595 cm-1, the value of its rotational partition function at 1000 K is close to (A) 1030 (B) 100 (C) 50 (D) 1 (E) 0
46. For a reaction A + 2B → C + D with the rate = k[A]2[B], which of the following mechanisms could be correct for this reaction (A) A + B → E (fast), E + B → C + D (slow) (B) A + B → E (fast), E + A → C + D (slow) (C) A + A → E (slow), E + B → C + D (fast) (D) B + B → E (slow), E + A → C + D (fast) (E) none of these
47. The photochemical chlorination of chloroform, CHCl3 + Cl2 → CCl4 + HCl is believed to proceed by the following mechanism:
Ia represents the intensity of light absorbed: number of photons absorbed per unit volume per unit second. The rate law for the production of carbon tetrachloride is d[CCl4]/dt = (A) k2Ia1/2[Cl2]1/2/k31/2 + 2Ia (B) k1Ia1/2[Cl2]1/2/k21/2 + 2Ia (C) k3Ia1/2[Cl2]1/2/k21/2 + Ia (D) 2k2Ia1/2[Cl2]1/2/k31/2 + 2Ia (E) k2Ia[Cl2]3/2/k31/2 + Ia
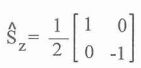
48. The spin functions α and β cannot be expressed in terms of spherical harmonics, but they can be expressed as column matrices:
The spin operator can be represented by the following Pauli matrix:
Ŝzα = cα and Ŝzβ = dβ. (c, d) = ? (A) (1/2, 1/2) (B) (1/2, -1/2) (C) (-1/2, 1/2) (D) (-1/2, -1/2) (E) (1, 1)
49. The formation of phosgene by the reaction
CO + Cl2 → COCl2
Assuming that the intermediates Cl and COCl are in a steady state, in the rate law for this reaction the reaction order with respect to [CO] is (A) 1/2 (B) 1 (C) 3/2 (D) 2 (E) 5/2
50. The terms derived from the electron configuration s1p2 are (A) 2S, 2P, 2D, 4S (B) 2S, 2P, 2D, 4P (C) 2S, 2P, 2D, 4D (D) 2S, 2P, 2D, 2F (E) 2P, 2D, 2F, 4P