所屬科目:交大◆電機◆線性代數與機率
5. (12%) Let random variable X be uniformly distributed in [-2,2]. Find , the probability density function of Y = X2 for y>0.
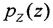
6. (13%) Let X and Y be independent exponentially distributed random variables with common parameter λ. Find the probability density function of Z = X+Y.
(c) (10%) If N=3 and Z= X(N-X), find , the PMF of Z, for all z.