題組內容
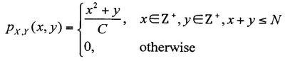
7. (25%) Given a positive integer N, Let X and Y be discrete random variables with joint probability mass function (PMF)
where Z* denotes the set of nonnegative integers and C is a normalizing constant.
(c) (10%) If N=3 and Z= X(N-X), find
, the PMF of Z, for all z.