阿摩線上測驗
登入
首頁
>
工地主任-第一類科
> 101年 - 101 年度第三次營造業 工地主任評定考試 第一類科A卷#82699
101年 - 101 年度第三次營造業 工地主任評定考試 第一類科A卷#82699
科目:
工地主任-第一類科 |
年份:
101年 |
選擇題數:
50 |
申論題數:
0
試卷資訊
所屬科目:
工地主任-第一類科
選擇題 (50)
1 應用傳統測量儀器進行以全球定位系統衛 星測量(GPS Satellite Surveying)獲得之測量 成果驗收時,常發生困難。最可能是因為 下列何者GPS測量特性? (A) 定位精度高 (B) 觀測時間短 (C) 觀測站間無須通視 (D) 全天候作業
2 如已知一經緯儀有視準軸偏心差時,可利用下列何種方法消除之? (A) 正倒鏡觀測 (B) 重複觀測 (C) 偏心觀測 (D) 對向觀測
3 建築物施工場所若為金屬板材質安全圍籬 高度應至少多少公尺以上? (A) 0.9 m (B) 1.2 m (C) 2.0 m (D) 2.4 m
4 以下何者不是履帶式起重機的特點? (A) 迴轉半徑比汽車式起重機為大 (B) 移動所需空間比汽車式起重機為小 (C) 必須以拖車載運進出工地現場 (D) 在未經整理難走地面或軟地均可行走
5 搭建工寮應注意事項中,下列何者為非? (A) 每個房間以住 16 人以下為原則 (B) 房間內每人的淨地板面積(扣除通路、 櫥櫃)約為 2.5 m2 以上為原則 (C) 同時最少須有 2 處出入口 (D) 採用雙層床時,上下兩層的空間須為 50 cm 以上
6 施工場所車輛進出口位置應距離道路交叉 口、轉角、行人穿越道、消防栓幾公尺以上以免妨礙交通? (A) 3 m (B) 5 m (C) 10 m (D) 20 m
7 合約圖說、工程價目單與一般條款若發生衝突,下列之優先順序何者為正確? (A) 合約圖說→一般條款→工程價目單 (B) 合約圖說→工程價目單→一般條款 (C) 一般條款→合約圖說→工程價目單 (D) 一般條款→工程價目單→合約圖說
8.有關施工計劃書之擬定,下列敘述何者為不正確? (A) 辦理查核金額一成以上之工程,得直接 辦理驗收 (B) 工程具有機電設備者,應增訂設備功能 運轉檢測程序及標準 (C) 勞工安全衛生管理計畫經主管機關要求 而有所修正時,仍應配合修正整體施工 計畫的內容 (D) 交通維持計畫若已通過所在地主管機關審查者,於施工計畫中可不再予以敘述
9.下列之箭線圖之繪製何者為正確? (A)
(B)
(C)
(D)
10 有關進度網圖之繪製敘述,何者為正確? (A) 一個正確的進度網圖一定要有虛作業 (B) 桿狀圖較箭線網圖更可有效地顯示作業 間的關連性 (C) 分工結構圖無法用以解析工程管理項目 (D) 目前的要徑不可能會隨時間而更動
11 已知 A 作業為起始作業,其作業時間與 LF 分別為 10 天與 25 天,請問該作業的總浮時為何? (A) 10 天 (B) 15 天 (C) 20 天 (D) 25 天
12 以某工程項目將其工料項目依單位材料使 用量,單位工價(含機具、人工)乘以市價, 而得該工程項目之單價,此稱為: (A) 傳統式工料分析 (B) 總價式工料分析 (C) 實用式工料分析 (D) 改良式工料分析
13 下列何者不是會影響施工估價的因素? (A) 工程合約付款方式 (B) 工程爭議 (C) 品質標準要求 (D) 施工計劃
14 全面品質管理制度是基於以下何種品質觀 念發展而成? (A) 品質是檢查出來的 (B) 品質是設計出來的 (C) 品質是管理出來的 (D) 品質是習慣出來的
15 下列何者可謂勞務案件? (A) 工資金額不超過 60﹪之零星工程交由 專業廠商承辦 (B) 工資金額超過 60﹪以上之技術服務交 由專業廠商承辦 (C) 工資金額佔預算金額 80﹪以上之勞務 工作,交由土木包工業承辦 (D) 工資金額佔預算金額 80﹪以下之勞務 工作,交由土木包工業承辦
16 下列何者非用以考核供應廠商的項目? (A) 品質 (B) 財務能力 (C) 工安環保 (D) 交貨
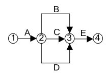
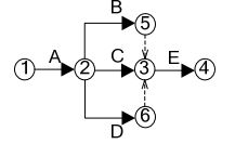
17 CSD 整合須考慮各系統所佔之權重,下列 敘述何者為正確? (A) 機電系統以供電系統為第一優先考量 (B) 電纜架之權重優先於空調風管 (C) 管線佈置之權重以管徑為第一考量 (D) 空調風管應優先於重力排水之污水管
18 面臨合法(橫軸)但在倫理(縱軸)上卻有爭議 之決擇時,此屬法律與倫理座標之第幾象 限? (A) 第一象限 (B) 第二象限 (C) 第三象限 (D) 第四象限
19 將施工機具之提供、操作及維修保養一併 交由專業廠商,按工程數量計價,最接近 施工機具獲得方式中之何類? (A) 訂製 (B) 租機 (C) 外包 (D) 使用後再予買回
20 下列何者有關瀝青混凝土路面舖築施工注 意事項何者有誤? (A) 作業環境溫度不宜低於 10°C (B) 路基應事先整平壓實 (C) 瀝青混凝土到場溫度不得低於 90°C (D) 瀝青鋪設滾壓時機為能承受壓路機而不產生過份移動
21 有關節塊推進工法說明,何者不正確? (A) 節塊指預鑄或場鑄之單元長度 (B) 較適用於多跨連續橋梁之施工 (C) 作業循環順序為「節塊預鑄」→「推進」 及→「施拉預力」 (D) 臨時橋墩之功用為減少彎曲力距並適 度修正、導引推進方向
22 下列有關旋臂型掘削機或破碎機等機械開挖隧道工法之說明,何者正確? (A) 不適於建築密集之市區 (B) 對鄰近建築物及環境之影響較鑽炸顯著 (C) 開挖作業較鑽炸安全 (D) 開挖斷面形狀與尺寸不可調整
23 下列有關於全套管基樁施工中混凝土澆置 時之事項說明不正確? (A) 應使用特密管連續澆置 (B) 需先拔昇套管使其下端高於已澆置之混 凝土 (C) 特密管最下端應保持在混凝土面以下至 少 2.0m (D) 單一支最大直徑基樁須在混凝土初凝 前並在 2 小時內澆妥
24 土釘施工步驟包括: (甲)邊坡開挖、(乙)土釘 安裝、(丙)面板裝設及(丁)掛網噴凝土,對 自立時間較佳之土層其施工順序為: (A) 甲乙丙丁 (B) 乙甲丁丙 (C) 丁甲乙丙 (D) 甲丁乙丙
25 下列有關自地面搭設之施工架其地面處理 應注意事項何者最不適宜? (A) 土層需提供足夠承載力 (B) 雖屬臨時工程仍需注意地面排水 (C) 檢查方式以目視配合地質鎚測試 (D) 若地面軟弱可使用軟墊片墊高
26 下列有關起重機作業管理須知何者最適 宜? (A) 現場施工安全以吊升荷重為準 (B) 桁架仰角越大,有效吊重越小 (C) 吊距越遠有效吊重越重 (D) 作業能量需考慮捲揚機能量、構件強度與撐座配置
27 下列何項非為帷幕牆工法之主要優點? (A) 減輕結構負荷 (B) 塑造明亮外觀 (C) 有效縮短工期 (D) 增加抗震強度
28 下列何者非屬土方工程? (A) 地下室開挖 (B) 隧道開挖 (C) 地質調查 (D) 基礎開挖回填
29 直接基礎係指基礎載重面深度(Df)與基 礎載重面短邊長度(B)的比值小於? (A) 0.5 (B) 1.0 (C) 2.0 (D) 5.0
30 以下哪一項不是安全監測管理值擬訂須考慮因素? (A) 工程規模與工期 (B) 設計參數之不確定性 (C) 監測頻率高低 (D) 公共關係,鄰房心態及反應
31 以下哪一項有關點井工法之描述非正確? (A) 以高度真空原理排水 (B) 使用時無須強制地盤水份 (C) 排水深度較淺 (D) 可增強壓密作用
32 勞工安全衛生法第18條所明訂何者應負責 設置「協議組織」? (A) 工程業主 (B) 工程主管機關 (C) 原事業單位 (D) 工程承攬單位
33 危險性工作場所審查暨檢查辦法第17條所 訂之「附件十四 施工計畫書」中何者無需 實施稽核管理? (A) 模板支撐 (B) 隧道支撐 (C) 勞工安全衛生管理計畫 (D) 施工架及壓氣設施
34 下列何者為施工安全評估報告書中之「基 本事項檢討評估」之評估事項? (A) 可能災害狀況 (B) 勞工安全衛生管理相關法規 (C) 災害類型及要因 (D) 安全衛生設施設置
35 導線閉合差為何? (A) 8 公分 (B) 6 公分 (C) 14 公分 (D) 10 公分
36 導線閉合比為何? (A) 1/17,857 (B) 1/125,000 (C) 1/25,000 (D) 1/250,000
37.如果閉合差維持相同,而導線全長為 250m,則在地籍圖根測量導線精度要求 中,所能符合之最高等級為: (A) 數值法測量地區幹導線 (B) 數值法測量地區支導線 (C) 圖解法測量地區幹導線 (D) 圖解法測量地區支導線
38 此網圖共存在幾個要徑作業? (A) 0 個 (B) 3 個 (C) 5 個 (D) 6 個
39 下列敘述何者為正確? (A) 後續作業的 ES 不會受干擾浮時的消耗 而影響 (B) 非要徑作業的自由浮時有可能為 0 (C) 要徑作業的自由浮時必不為 0 (D) 要徑作業的干擾浮時必不為 0
40 對作業 F 的敘述,下列何者為不正確? (A) 此作業存在干擾浮時 (B) 此作業的自由浮時為 0 天 (C) 此作業可決定其它路徑作業之寬裕時間 (D) 此作業為要徑作業
41 對作業 I 的敘述,下列何者為不正確? (A) 自由浮時為 0 天 (B) 最早可於第 12 天開始施作 (C) 最早亦需 15 天才可完成 (D) 延誤 1 天施作也不會影響總工期
42 下列敘述何者為不正確? (A) 作業 H 之干擾浮時為 0 天 (B) 作業 G 之自由浮時為最大 (C) 作業 C 之總浮時與自由浮時為相同 (D) 作業G之總浮時與自由浮時的天數相同
43 瀝青混凝土運輸車輛多於車斗上裝設有可 覆蓋帆布之裝置,其目的為何? (A) 平整度控制 (B) 鋪築厚度控制 (C) AC 溫度控制 (D) 粒料控制
44 拌和廠之設備及操作應做定期檢查,出車 裝料淨重與各盤重量總和值之最大容許誤 差範圍為: (A) ±1% (B) ±2% (C) ±3% (D) ±4%
45 若為原有 AC 路面損壞更新,則新 AC 層舖 築前先需進行下列何項作業? (A) 原有 AC 路面刨除 (B) 路面加熱 (C) 原有路面滾壓 (D) 原有路面灑油
46.AC 路面舖築之壓實密度與下列何項因素最 無關? (A) 壓路機型式 (B) 舖築時 AC 溫度 (C) 拌合料配比 (D) 路基高度
47 下列哪一項非本基地砂土層地質改良之主 要目的? (A) 增加砂土承載力 (B) 提高砂土層透水性 (C) 抑制砂土層變形 (D) 改善砂土層抗液化性質
48 下列哪一項地盤改良工法最適用於本基地 地質改良? (A) 預載工法 (B) 砂滲工法 (C) 紙滲工法 (D) 直接動力壓實工法
49 本基地河堤建造應分層壓實,若無資料證 明可行時,每層鬆方上限值為何? (A) 30cm (B) 40cm (C) 50cm (D) 60cm
50 依規定底層各層填方至少每多少面積應做 工地密度試驗 1 次? (A) 1000m
2
(B) 2000m
2
(C) 3000m
2
(D) 4000m
2
申論題 (0)
相關試卷
115年 - [非官方正解]115-2 內政部國土管理署_營造業工地主任評定考試試題_第一類科(B)#139899
115年 · #139899
115年 - [非官方正解]115-2 內政部國土管理署_營造業工地主任評定考試試題:第一類科(A)#139898
115年 · #139898
115年 - 115-1 內政部國土管理署_營造業工地主任評定考試試題:第一類科(A)#136717
115年 · #136717
115年 - 115-1 內政部國土管理署_營造業工地主任評定考試試題:第一類科(B)#136713
115年 · #136713
114年 - 114-3 內政部國土管理署_營造業工地主任評定考試試題:第一類科(B)#132556
114年 · #132556
114年 - 114-3 內政部國土管理署_營造業工地主任評定考試試題:第一類科(A)#131154
114年 · #131154
114年 - 114-2 內政部國土管理署_營造業工地主任評定考試試題_第一類科(A)#127139
114年 · #127139
114年 - 114-2 內政部國土管理署_營造業工地主任評定考試試題_第一類科(B)#127119
114年 · #127119
114年 - 114-1 內政部國土管理署_營造業工地主任評定考試試題_第一類科(A)#124987
114年 · #124987
114年 - 114-1 內政部國土管理署_營造業工地主任評定考試試題_第一類科(B)#124986
114年 · #124986