所屬科目:教甄◆數學
1. 設 S = 1⁴ + 2⁴ + …… + 1984⁴ + 1985⁴ 的個位數為 a,試求 a 之值為何? (A) 2 (B) 3 (C) 5 (D) 8
2. 設 ω =, 求 1 + ω + ω² + … + ω⁶ (A) 1 + ω + ω² (B) -1 (C) 1 + ω⁶ (D) 1
3. 方程式 x² - y² = 101² 的整數解有幾組? (A) 4 (B) 6 (C) 8 (D) 10
4. 已知 2 + √3 是方程式 x² - 9x cosθ + 1 = 0 的一個根,且 θ 是銳角,則 sinθ = ? (A) (B) (C)(D)
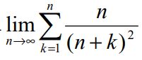
5. 求 (A) (B) 1 (C) -1 (D) 2
6. 設 f(x) =, 則的值為何? (A) 10 (B) 20 (C) 21ln10 (D) 2ln10
7. 若一函數 f, 恆滿足 f(x) + 2f(1/x) = 3x, 試求 f(2) + f(1/2) 之值為何? (A)(B)(C) (D)
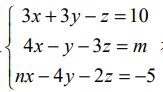
8. 方程組有無窮多解, 求 m - n (A) 2 (B) 3 (C) 4 (D) 6
9. 在一正立方體的六個面上塗紅、橙、黃、綠、藍、紫各一次,請問有幾種不同的塗法?(註:正立方體可自由翻轉。) (A) 30 (B) 60 (C) 120 (D) 720
10. 若 a、b、c 為從集合 {1,2,3,4,5} 中隨機取出的三個數字(可重複選取),試問 ab + c 為奇數的機率為何? (A)(B) (C)(D)
11. 下列何者不是 13 的倍數? (A) 64⁶²⁵ + 1 (B) 2¹⁰⁰⁰ - 3 (C) 67³³ + 5 (D) 18¹⁸ + 1
12. 設 T(x,y) = (x, y - x, y) 為從 R² 到 R³ 的線性轉換,試求 dim(Image(T)) (A) 2 (B) 1 (C) 3 (D) 以上皆非
13. n ∈ N, , 下列何者最大? (A) a₁ (B) a₁₀₀₀ (C) a₂₀₁₂ (D) a₂₀₁₃
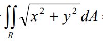
14. 設區域 R = {(x,y) | 0 ≤ y ≤ √(4 - x²), 0 ≤ x ≤ 2}, 求重積分=? (A) π (B) (C)(D)
15. 曲線 y = sinx, 0 ≤ x ≤ π 與 y = 0 所圍區域繞 X 軸旋轉, 求該旋轉體體積 (A)(B) π² (C) (D)
16. (x + x² + x³ + x⁴ + x⁵)(x² + x³ + x⁴ + ... + x¹⁰)² 的展開式中, x¹⁰ 的係數為何? (A) 10 (B) 16 (C) 20 (D) 25
17. 附圖是兩全等的正方形ABCD與 APQR 重疊情形, 若 ∠BAP = 60°, = 6√3, 則圖中灰色部分面積為何?(A)72(B)54√3 - 18(C)108 - 18√3(D)108√3 - 108
18. 若 2ˣ = 3ʸ = 12, 則 xy - x - 2y + 3 = ? (A) 2 (B) 3 (C) 4 (D) 1
19. 某天小明家裡的時鐘沒電了, 將其裝上電池後, 顯示 12 點整; 然後小明就出門到朋友家, 一進門看到朋友 家的時鐘是 13 點 20 分, 待了一段時間後離開, 這時 朋友家的時鐘是指著 13 點 50 分, 回到家時, 家裡的 時鐘指著 14 點整, 這時小明若要將家裡的時鐘調整 好, 請問應要調整成幾時幾分? (假設來回的路程時間 相同) (A) 14 點 15 分 (B) 14 點 25 分 (C) 14 點 35 分 (D) 14 點 45 分
20. 令 λ₁ = -1, λ₂, λ₃ 為矩陣的三個特徵值, 求 λ₂λ₃ =(A)0(B)4 (C)3(D)1
21. m, n ∈ N, 若= 5 : 3 : 1, 則 m 為何? (A) 4 (B) 5 (C) 6 (D) 7
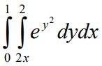
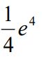
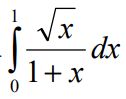
22. 求 (A) (B) e4 - 1 (C)(D)
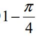
23. 求= ? (A)(B)(C)(D)
24. 試求之值 (A)(B) 2 (C) ln2 (D) e
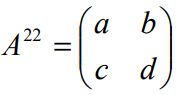
25. 設, 若, 則 a + b + d = ? (A)(B) (C)(D)