所屬科目: 放射線治療原理與技術學
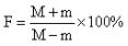
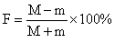
1.附圖中甲、乙、丙是不同的射束對於有氧(-○-)與無氧(-●-)照射下的生存曲線與OER之關係,附圖中甲、 乙、丙應分屬於何種射束? (A)甲為α-particle,乙為15 MeV neutron,丙為X-ray(B)甲為15 MeV neutron,乙為α-particle,丙為X-ray(C)甲為X-ray,乙為α-particle,丙為15 MeV neutron(D)甲為X-ray,乙為15 MeV neutron,丙為α-particle