阿摩線上測驗
登入
首頁
>
數位信號處理
> 102年 - 102 專利商標審查特種考試_三等_電信工程:數位信號處理#44424
102年 - 102 專利商標審查特種考試_三等_電信工程:數位信號處理#44424
科目:
數位信號處理 |
年份:
102年 |
選擇題數:
0 |
申論題數:
16
試卷資訊
所屬科目:
數位信號處理
選擇題 (0)
申論題 (16)
⑴ T 是否為線性(linear)?(請直接寫出答案即可,毋須呈現推論過程。)(5 分)
⑵ T 是否為非時變(time-invariant)?(請直接寫出答案即可,毋須呈現推論過程。) (5 分)
⑶ T 是否為穩定(stable)?(請直接寫出答案即可,毋須呈現推論過程。)(5 分)
【已刪除】 ⑷如果
則 y(n) = ?(請注意在你的答案中,n 須涵蓋所有整數。)(8 分)
⑸承續第⑷小題,請寫出該小題中的 y(n) 的 z 轉換(z transform)。(7 分)
⑴ x(t) + y(t) 。(5 分)
⑵ x(t) × y(t) 。(5 分)
⑶ x(t) 與 y(t) 的迴旋積分(convolution)。(5 分)
⑴請算出 X(5), X(6), X(7) 的值。(5 分)
⑵ x(0) = ?(5 分)
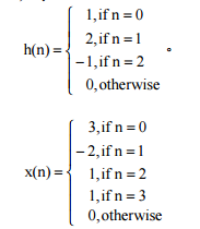
【已刪除】 ⑴若是將訊號
輸入此系統所得到的輸出以 y(n) 表示,則 y(n) = ?(請注意在你的答案中,n 須涵 蓋所有整數。)(10 分)
【已刪除】 ⑵若是將訊號
輸入此系統所得到的輸出以 z(n) 表示,則 z(n) = ?(請注意在你的答案中,n 須涵 蓋所有整數。)(10 分)
⑴請找出此系統的轉換函數(transfer function)。請注意你的答案應該是 z
−1
的分式 (rational function)的型式。(5 分)
⑵請找出此系統的脈衝響應(impulse response)。(10 分)
⑶請 以 電 路 圖 的 方 式 畫 出 此 系 統 。 在 此 圖 中 你 可 以 使 用 的 電 路 元 件 有 乘 法 器 (multiplier)、加法器(adder)、以及延遲元件(delay element)。請清楚標明 x(n) 及 y(n) 在圖中的位置。(5 分)
⑷若是我們將此系統視為一個數位濾波器( digital filter ),則此濾波器應該算是 FIR(finite impulse response)濾波器還是 IIR(infinite impulse response)濾波器? (請直接寫出答案即可,毋須呈現推論過程。)(5 分)
相關試卷
101年 - 101 專利商標審查特種考試_二等_電信工程:數位信號處理#44823
101年 · #44823
99年 - 99 專利商標審查特種考試_二等_電信工程:數位信號處理#47001
99年 · #47001
96年 - 96 專利商標審查特種考試_三等_電信工程:數位信號處理#50535
96年 · #50535