阿摩線上測驗
登入
首頁
>
工程數學(應用數學, 線性代數、微分方程、複變函數與機率)
> 102年 - 102 專技高考_電機工程技師:工程數學(包括線性代數、微分方程、複變函數與機率)#29302
102年 - 102 專技高考_電機工程技師:工程數學(包括線性代數、微分方程、複變函數與機率)#29302
科目:
工程數學(應用數學, 線性代數、微分方程、複變函數與機率) |
年份:
102年 |
選擇題數:
0 |
申論題數:
10
試卷資訊
所屬科目:
工程數學(應用數學, 線性代數、微分方程、複變函數與機率)
選擇題 (0)
申論題 (10)
一、試解下列微分方程式:x
2
dy+(xy+1)dx=0 (10 分)
【已刪除】二、試求下列微分方程式的完全解: (15 分)
⑴試求矩陣 A 的特徵值(eigenvalues)λ1、λ2、λ3。(5 分)
⑵試求矩陣 A 之特徵向量(eigenvectors) 1 u 、 2 u 、 3 u 。(5 分)
⑶使用 Gram-Schmidt process,試求 1 u 、 2 u 、 3 u 對應之 1v 、 2 v 、 3v ,使得矩陣 [ ] 1 2 3 P = v v v 且P P T = (orthogonal matrix),其中T 為轉秩(transpose)運算。 (10 分)
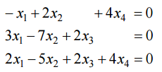
【已刪除】四、試求下列齊次聯立方程式(homogeneous linear system)之解集合空間(solution space)之維度(dimension)及一組基底(basis)。(10 分)
【已刪除】五、若z為複數(complex variables),試計算積分
,其中C為圓| z |= 2。 (15 分)
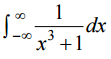
【已刪除】六、試計算積分值
(方法不拘)。(10 分)
【已刪除】七、令 X 和 Y 代表某事件隨機變數(random variables),
其聯合機率密度函數(joint probability distribution)如下:
試求 X 和 Y 的共變異值(covariance)。(10 分)
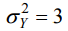
【已刪除】八、令 X 和 Y 代表某批產品兩種不同類型雜質數量的隨機變數(random variables)且 X 和 Y 互為獨立(independent)。已知 X 和 Y 的變異值(variance)各為
和
= 。試求隨機變數Z = 3X-2Y +1的變異值。(10 分)
相關試卷
114年 - 114 專技高考_電機工程技師:工程數學(包括線性代數、微分方程、複變函數與機率)#133679
114年 · #133679
114年 - 114 專技高考_電子工程技師:工程數學(包括線性代數、微分方程、向量分析、複變函數與機率)#133677
114年 · #133677
114年 - 114 調查特種考試_三等_電子科學組:工程數學#129578
114年 · #129578
114年 - 114 國家安全情報特種考試_三等_電子組(選試英文):工程數學#127780
114年 · #127780
113年 - 113 專技高考_電子工程技師:工程數學(包括線性代數、微分方程、向量分析、複變函數與機率)#123976
113年 · #123976
113年 - 113 專技高考_電機工程技師:工程數學(包括線性代數、微分方程、複變函數與機率)#123971
113年 · #123971
113年 - 113 調查特種考試_三等_電子科學組:工程數學#122110
113年 · #122110
113年 - 113 身心障礙特種考試_三等_電力工程:工程數學#119517
113年 · #119517
112年 - 112 地方政府特種考試_三等_電力工程、電子工程:工程數學#118376
112年 · #118376
112年 - 112 專技高考_電機工程技師:工程數學(包括線性代數、微分方程、複變函數與機率)#117639
112年 · #117639