所屬科目:研究所、轉學考(插大)、學士後-計算機概論
1. 1TBytes 的儲存容量等於 (A) Gbytes (B) Mbytes (C) Kbytes (D) bytes。
4. ,為何? (A)16 (B)12 (C)10 (D)9
7. 如下圖,Y=? (A) (B) (C) (D)
8. 在管線處理(pipelining)中將執行指令區分成指令解碼 指令執行 結果存回 指令擷取,四個步驟,其先後順序應 為下列何者? (A) (B) (C) (D)
9. 記憶體階層中依照速度由快而慢排序,應為何者?快取記憶體 主記憶體 暫存器 輔助記憶體。 (A) (B) (C) (D)
17. 若 A=3,B=8,C=4,D=10,E=5 則前置式(prefix):+✕A-BC/DC之值為 (A)8 (B)12 (C)14 (D)20。
21. 一張1024✕768個像素的圖片,若以全彩方式不經壓縮儲存,則此張圖片的儲存檔案大小為 (A)1MB (B)1.2MB (C)1.37MB (D)2.25MB。
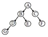
22. 一個二元樹如下圖所示,其後序走訪過程為何? (A)GDBEACF (B)ABDGECF (C)GDEBFCA (D)ABCDEFG