阿摩線上測驗
登入
首頁
>
研究所、轉學考(插大)-微積分
> 102年 - 102 淡江大學 轉學考 微積分#53071
102年 - 102 淡江大學 轉學考 微積分#53071
科目:
研究所、轉學考(插大)-微積分 |
年份:
102年 |
選擇題數:
0 |
申論題數:
14
試卷資訊
所屬科目:
研究所、轉學考(插大)-微積分
選擇題 (0)
申論題 (14)
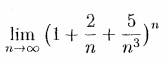
【已刪除】1 求極限
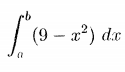
【已刪除】2.若a, b是兩實數使得定積分,
最大,求b — a。
【已刪除】3.求定積分
4.求函數 f(x) - (x
2
+ l)
sinx
;的微分。
【已刪除】5.求極限
【已刪除】6.求不定積分
【已刪除】7.求曲線
的切線方程式。
【已刪除】8.設
為函數xe
x
的冪級數展開,求a
3
。
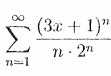
【已刪除】9.求級數的收斂區間(要考慮端點)。
10.函數為二次司微函數 , 且u(x) =f(x
3
— 1)。若f'(0) = 2及f"(0) 二 1 ,求u"⑴°
【已刪除】1.求極限値(提示:用黎曼積分)。
2.求函數f(x, y) = 2 + x
2
+ y
2
在集合S = {(x, y) : 'x
2
+
y
2
/4 ≤ 1}上的最大及最小値。
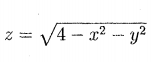
【已刪除】3.計算在曲面
下及曲面z =x
2
+y
2
上,所圍區域之體積。
【已刪除】4.計算
相關試卷
114年 - 114 臺灣綜合大學系統_學士班轉學生考試試題:微積分A#137897
114年 · #137897
114年 - 114 臺灣綜合大學系統_學士班轉學生考試試題:微積分B#137819
114年 · #137819
114年 - 114 台灣聯合大學系統_學士班轉學生考試試題:微積分#137762
114年 · #137762
114年 - 114 台灣聯合大學系統_學士班轉學生考試試題:微積分#137761
114年 · #137761
114年 - 114 國立臺灣大學_轉學生招生考試_物理學系/土木工程學系/生物環境系統工程學系/生物機電工程學系:微積分(B)#137745
114年 · #137745
114年 - 114 國立臺灣大學_轉學生招生考試_數學系:微積分(A)#137744
114年 · #137744
113年 - 113 國立嘉義大學_轉學生招生考試試題_(全校):微積分#122986
113年 · #122986
112年 - 112 國立臺灣大學_碩士班招生考試題:微積分(D)#130254
112年 · #130254
112年 - 112 國立陽明交通大學_碩士班入學招生試題_統計學研究所﹕微積分與線性代數#130252
112年 · #130252
112年 - 112 國立嘉義大學_轉學生招生考試試題:微積分#123297
112年 · #123297