所屬科目:教甄◆數學
42. 如圖,是一個3×4方格(每ㄧ個方格是邊長1公分的正方形),連接對角線,則灰色部分面積是多少平方公分? (A) (B) (C) (D)
43. 如圖,直角△ABC中,放了兩個正方形DHBF與EGHI, 若 ,則 =?
44. 將 化為最簡分數 ,以標準分解式表示,則 , 6 m 則a+b的值=? (A) 52 (B) 53 (C) 54 (D) 55
46. 如圖,直線 方程式為 和x軸、y軸分別交於A、B兩點,以 為邊 3 1 作正△ABC,若在第一象限內有一點,使得△ABP與△ABC面積相同,則 2 m=?
47. 如圖,在一矩形內選一點P,使得 ,則 = ? (A) (B) 7 (C)√ 67 (D) √ 73
49. 如圖,△ABC中, ,若△ADE,△BCE的面積分別為3與18,則△BDE的面積為多少?
50. 如圖,四邊形ABCD為正方形,四邊形EFCG為長方形,若 ,則 =?
51. 如圖,四邊形ABCD中, , ∠ABC = 800 ,則 ∠ADC 為多少度?
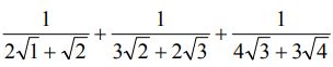
52. 化簡 + ....... +=? (A) (B) (C) (D)
53. 設 n1 , n2 ,.... 為正整數,若 ,則 n1 + n2 + .... + 的最小值為? (A) 26 (B) 27 (C) 28 (D) 29
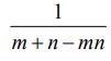
56. 四個正數a、b、c、d,如果 , ,則 ac + bd = ? (A) 10 (B) 11 (C) 12 (D) 13
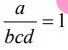
58. 設x>0,y>0;若x,y滿足√ x (√ x +2√ y = √ y (4 √x + √3 y ),則 =? (A) (B) (C) (D)
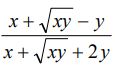
59. 如圖,ABCD為正方形,且E、F為 的中點, 於 G、H, 求 =?
60. 如圖,若△ABC中,∠ABC與∠ACB的角平分線相交於P點,且過P點作 ; 已知 ,則的長=?
63. 一列火車通過480公尺的隧道,用了71秒,當它通過長2072公尺的大橋時,速度比 1 通過隧道時提高 ,結果用了3分36秒。請問火車車身的長度為多少公尺? (A) 124 (B) 132 (C) 44 (D) 88
65. 已知完成一工作,A獨做所需時間為B與C共同工作所需時間的 m 倍,B獨做所需時 間為A與C共同工作所需時間的 n 倍,而C獨做所需時間為A與B共同工作所需時間 的 x 倍。則 x 用 m 、 n 表示為何? (A) (B) (C) (D)
70. 如圖,已知 為半圓O的直徑,若∠K=20°、∠PMQ=40°,則∠MQP=?
71. 如圖,△ABC與△ACD均為直角三角形, ,試問下列敘述何者正確? (A) (B) (C) (D)
73. 之正整數部份為a,純小數部份為b,試問下列敘述何者正確? (A) a-b>0 (B) a=1 1 (C) (D)
75. 設某工廠有三部機器A、B、C分別生產全部產品的 ;又設A、B、C三部 2 3 6 機器所生產的不良品分別為2%、3%、4%。已知取出一個不良品,問此產品來自B 機器的機率是多少? (A) (B) (C) (D)
76. 從1~500的整數中任選一數,如果每一數被選中的機會相等,試求被選中的數不能被3或5或7除盡的機率是多少?(A) (B) (C) (D)
77. 甲、乙兩人比賽擲一公正骰子,約定誰先擲出點數6者為贏,由甲先擲。請問乙贏 的機率是多少? (A) (B) (C) (D)