所屬科目:壽險數學
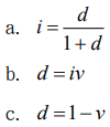
2. 下列式子,何者正確? (A) abc (B) bc (C) ac (D) ab
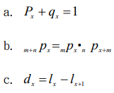
7. 下列有關生命表的公式,何者正確?
(A) abc (B) ab (C) bc (D) ac
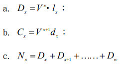
11. 以下有關基數表的定義,何者正確?
(A) abc (B) ab (C) c (D) bc