所屬科目:技檢◆室內配線(屋內線路裝修)-乙級
1.依據專任電氣技術人員及用電設備檢驗維護業管理規則之規定,22.8kV之高壓用戶須設置何級電氣技術人員?(A)不必設置(B)中級(C)初級(D)高級。
2.屋外電燈線路距地面應保持多少公尺以上?(A)5(B)2(C)3(D)4。
3.住宅場所陽台之插座及離廚房水槽多少公尺以內之插座分路應裝設漏電斷路器?(A)0.8(B)2.8 (C)3.8(D)1.8。
4.三相11.4kV之受電用戶,未裝電容器改善功率因數時,電源側供應之負載電流為100安,功率因數0.8滯後,如將功率因數改善至1.0時,則由電源側供應之負載電流變為多少安? (A)60(B)100(C)80(D)70。
5.單相110V的日光燈分路,若採用單極無熔線開關作保護,則正確配線方式為(A)選擇非接地 導線經過無熔線開關(B)選擇被接地導線經過無熔線開關(C)選擇接地線經過無熔線開關(D)非接 地導線、被接地導線或接地線任意選擇其中一條經過無熔線開關。
6.特種及第二種接地,設施於人易觸及之場所時,自地面下0.6公尺起至地面上多少公尺,均 應以絕緣管或板掩蔽?(A)1.5(B)2.5(C)1.8(D)2。
7.與銅線同一長度,相同電阻的鋁線,其截面積約為銅線之多少倍?(A)1.5(B)1.2(C)2(D)1.6。
8.電工儀表上指示三相交流之符號為(A)(B)(C)(D)。
9.在瓦時計的鋁質圓盤上鑽小圓孔,其主要的目的是(A)防止圓盤之潛動(B)減少阻尼作用(C)增加 轉矩(D)幫助啟動。
10.依台灣電力公司電價表之規定,採用需量契約容量計費之用戶,當月用電最高需量超出其契 約容量者,其超出契約容量10%以上部分,按其適用電價多少倍計收基本電費?(A)4(B)1(C)3 (D)2。
11.在用戶用電範圍內,15kV電力電纜以硬質非金屬管裝置埋設於地下時,除另有規定外,其最 小埋設深度為多少公厘?(A)300(B)760(C)460(D)610。
12.屋外供電線其電纜遮蔽層及導線之金屬裝甲之接地線,不得小於多少平方公厘之銅線?(A)14 (B)8.0(C)3.5(D)5.5。
13.下列何者不是變壓器的試驗項目之一?(A)衝擊電流試驗(B)溫升試驗(C)衝擊電壓試驗(D)開路試 驗。
14.一台3ψ、220V、15HP、60Hz感應電動機,若滿載線電流為40A,以Y-Δ降壓起動,並 於線電流線路上裝置一積熱電驛(TH-RY),若安全係數為1.15,積熱電驛(TH-RY)跳脫值應 設於多少A?(A)60(B)50(C)46(D)40。
15.配電盤上之CT,標示為0.5級係表示(A)準確度(B)形狀大小(C)耐壓(D)絕緣等級。
16.避雷器與大地間之引接線應使用銅線或銅電纜線,且應不小於多少平方公厘?(A)8(B)38(C)22 (D)14。
17.非金屬管與金屬管比較,前者具有何優點?(A)耐壓性(B)耐熱性(C)耐腐蝕性(D)耐衝擊性。
18.電度表之裝設,離地面高度應在1.8公尺以上,2.0公尺以下為最適宜。如現場場地受限制, 施工確有困難時得予增減之,惟最高不得超過多少公尺?(A)3.5(B)2.0(C)2.5(D)3.0。
19.左圖所示符號為屋內配線設計圖之(A)電力總配電盤(B)電力分電盤(C)電燈動力混合配電盤 (D)電燈總配電盤。
20.游標卡尺在本尺上每刻劃的尺寸為多少公厘?(A)1(B)0.02(C)0.05(D)0.5。
21.3ψ4W接線66/11.4kV非有效接地系統之避雷器額定電壓宜採用多少kV?(A)12(B)4.5(C)3(D)9。
22.兩只額定200伏之直流伏特計,及靈敏度分別為20kΩ/V、40kΩ/V,當串聯於240伏 直流電源時,伏特計、各分別指示為多少V?(A)160、80(B)120、120(C)80、160(D)160、160。
23.變壓器之一次側係指(A)低壓側(B)高壓側(C)負載側(D)電源側。
24.配電盤之儀表、訊號燈、比壓器及其他所有附有電壓線圈之設備,應由另一電路供電之,該 電路過電流保護裝置之額定值應不得超過多少安?(A)10(B)15(C)30(D)20。
25.在變壓器中,鐵損是由下列何者所構成?(A)線圈電阻功率損失(B)磁滯損與渦流損(C)磁滯損(D)渦流損。
26.低壓電容器之容量(kVAR),以改善功率因數至百分之多少為原則?(A)一○○(B)八五(C)九○(D) 九五。
27.有一變壓器,滿載時銅損為180W,則負載時銅損為多少W?(A)30(B)60(C)20(D)90。
28.電阻點焊機分路之導線供應自動點焊機者,其安培容量不得低於電焊機一次額定電流之百分 之(A)七○(B)三○(C)四○(D)五○。
29.依據勞工安全衛生設施規則規定,雇主使勞工於接近高壓電路或高壓電路支援物從事敷設、 檢查修理、油漆等作業時,為防止勞工接觸高壓電路引起感電之危險,在距離頭上、身側及 腳下多少公分以內之高壓電路者,應在該電路設置絕緣用防護裝備?(A)六十(B)一百(C)三十(D) 五十。
30.依工業安全衛生標示設置準則,尖端向上之正三角形係表示(A)一般說明標示(B)注意標示(C)警 告標示(D)禁止標示。
31.分路供應重責務型燈座之出線口時,每一出線口以多少伏安來計算?(A)300(B)600(C)500(D)180。
32.依勞工健康保護規則規定,在職勞工年齡在四十歲以上未滿六十五歲者,其一般健康檢查, 應每幾年定期檢查一次?(A)三(B)二(C)四(D)一。
33.內線系統接地與設備接地共用一接地線或同一接地電極,稱為(A)低壓電源系統接地(B)內線系 統接地(C)設備接地(D)設備與系統共用接地。
34.三相感應電動機之端電壓固定,將一次的定子線圈由△接改為Y接,則電動機最大轉矩變成多少倍?(A)(B)3(C)√3(D)。
35.某比壓器(PT)之二次側線路阻抗為10Ω,二次側線電壓為50V,則此PT之負擔為多少VA? (A)10(B)100(C)1000(D)250。
36.電容器之配線,其安培容量應不低於電容器額定電流之多少倍?(A)2.5(B)1.25(C)1.5(D)1.35。
37.線路電壓300V以下之人行道,路燈離地最小高度應不低於多少m?(A)3(B)3.5(C)2.5(D)2。
38.左圖所示符號為屋內配線設計圖之(A)電流電驛(B)瓦特計(C)過壓電驛(D)瓦時計。
39.依據勞工安全衛生設施規則規定,雇主對於在高度多少公尺以上之高處作業,勞工有墜落之 虞者,應使勞工確實使用安全帶、安全帽及其他必要之防護具?(A)一(B)三(C)二(D)四。
40.兩只完全相同之額定容量為220V、2000W之電阻性電熱器串接在220V電源時,其消耗之 總功率為多少W?(A)250(B)500(C)750(D)1000。
41.含有多少公升以上可燃性液體之低壓電容器,應封閉於變電室內或隔離於屋外處?(A)20(B)15 (C)5(D)10。
42.屋內配線設計圖中,接地型單插座的符號為(A)(B)(C)(D)。
43.特別低壓線路裝設於屋內,當各項電具均接入時,導線相互間及導線與大地間之絕緣電阻不 得低於多少MΩ?(A)0.05(B)0.1(C)0.01(D)0.2。
44.螺絲規格以「M10×1.5」表示,其中「1.5」表示螺紋的(A)節距(B)節徑(C)外徑(D)牙深。
45.一個位元(bit),若以鮑率(BaudRate)為9600的傳送速率連續傳送10秒的資料,則共可傳 送多少位元組(Bytes)的資料?(A)12000(B)24000(C)1200(D)2400。
46.相同容量下,若以高效率、體積小、保養容易等因素為主要考量時,下列電動機何者最適宜? (A)直流分激電動機(B)直流串激電動機(C)直流無刷電動機(D)感應電動機。
47.某變壓器無載時變壓比為20.5:1,滿載時為21:1則其電壓調整率為多少%?(A)2.43(B)-2.43 (C)2.38(D)-2.38。
48.A、B為同質材料之導線,A之導線長度、截面積均為B導線之2倍,分別代表兩導線電阻,則兩導線電阻之關係為(A)(B)(C)(D)。
49.學校之黑板一般照度標準以多少Lx計算?(A)300~500(B)150~200(C)300~750(D)500~1000。
50.高壓用戶之低壓電動機,每台容量不超過多少馬力者,起動電流不加限制?(A)200(B)15(C)50 (D)150。
51.垂直裝置之金屬導線槽,其支持點距離不得超過多少公尺?(A)2.5(B)4(C)4.5(D)3。
52.電動機操作器負載側個別裝設電容器時,其容量以能提高該電動機之無負載功率因數達百分 之多少為最大值?(A)95(B)85(C)100(D)90。
53.發電廠內發電機之升壓變壓器組,通常採用下列何種連接?(A)△-Y(B)Y-Y(C)Y-△(D)△- △。
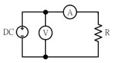
54.下圖所示之接線是以伏特計與安培計測量負載直流電功率,為防止儀表之負載效應,減少誤差,下列敘述何者正確?
(A)不論量測負載電阻大小之電功率時,均可採用之接線(B)與負載電 阻高低無關(C)為量測高電阻負載之電功率時,所採用之接線(D)為量測低電阻負載之電功率 時,所採用之接線。
55.測量變壓器鐵損的方法是(A)溫升試驗(B)耐壓試驗(C)開路試驗(D)短路試驗。
56.5.5平方公厘低壓電纜沿建物之側面水平裝設,以電纜固定夾支持時,其最大間隔為多少公尺?(A)1.2(B)1(C)0.3(D)0.5。
57.電度表配合比壓器(PT)及比流器(CT)使用時,已知PT的電壓比為3300/110V,CT之電流比 為100/5A,則該電度表實際量測值應乘以多少倍?(A)300(B)100(C)600(D)20。
58.變壓器之一次線圈為2400匝,電壓為3300伏,二次線圈為80匝,則二次電壓為多少伏? (A)440(B)330(C)220(D)110。
59.一般使用接戶電纜作為接戶線時,跨越主要道路應離路面多少公尺以上?(A)5(B)5.5(C)4(D)6。
60.若三相電源之三接線端為R、S、T,而三相感應電動機之三接線端為U、V、W,當電動機 正轉時,接法為R-U、S-V、T-W,則下列何種接法可使電動機仍保持正轉?(A)R-W、S-V、 T-U(B)R-U、S-W、T-V(C)R-V、S-U、T-W(D)R-V、S-W、T-U。
61.配電盤之整套型變比器(MOF)中包含(A)比流器及比壓器(B)比流器(C)比壓器(D)電容器。
62.三相感應電動機無載運轉時,如欲增加其轉速,可選用下列何種方法?(A)減少電源電壓(B)增 加電源頻率(C)增加電動機極數(D)減少電源頻率。
63.200/100V2kVA之單相變壓器,若改接成200/300V之升壓自耦變壓器,則其輸出容量為多 少kVA?(A)2(B)4(C)6(D)8。
64.第三種接地對地電壓301V以上,其接地電阻應在多少Ω以下?(A)10(B)100(C)50(D)25。
65.水平裝置之導線槽應在相距多少公尺處加一固定支持裝置?(A)1.5(B)1(C)0.5(D)2。
66.電纜穿入金屬接線盒時,應使用下列何者裝置以防止損傷電纜?(A)橡皮套圈(B)電纜固定夾(C) 護管鐵(D)分接頭。
67.依據專任電氣技術人員及用電設備檢驗維護業管理規則之規定,用電場所負責人應督同專任 電氣技術人員對所經管之用電設備,每幾個月至少應檢驗一次?(A)1(B)3(C)6(D)2。
68.避雷器之接地引接線如裝於電桿表面上,其離地面上多少公尺以下部位應以PVC管掩蔽?(A)2.5(B)1.2(C)1.5(D)0.9。
69.高壓電路過電流保護器為斷路器者,其標置之最大始動電流值不得超過所保護導線載流量之 幾倍?(A)6(B)1.25(C)1.5(D)3。
70.單相蔽極式感應電動機係靠下列何種原理來旋轉?(A)固定磁場(B)移動磁場(C)旋轉磁場(D)推斥 磁場。
71.下列對單相感應電動機之敘述何者正確?(A)雙值電容式電動機之永久電容器容量較起動電容 器大(B)蔽極電動機起動轉矩比電容起動式電動機大(C)雙值電容式電動機常用於需變速低功因 之場合(D)蔽極電動機中蔽極部分之磁通較主磁通滯後。
72.除另有規定外,電熱器每具額定電流超過多少安者,應設施專用分路?(A)20(B)10(C)15(D)12。
73.三相感應電動機使用變頻器作減速控制時,為了避免電動機因產生再生電壓而造成變頻器過 電壓失速,除了設定加長減速時間外,還可在變頻器中加裝(A)雜訊濾波器(B)電磁接觸器(C)煞 車電阻器(D)交流電抗器。
74.三相感應電動機各相繞組間之相位差為多少電工角度?(A)180(B)120(C)150(D)90。
75.下列何種開關,能不接觸物體即可檢測出位置?(A)極限開關(B)光電開關(C)浮球開關(D)按鈕開 關。
76.要使感應電動機變成感應發電機,須使其轉差率(A)小於0(B)大於2(C)介於1至0之間(D)大於1。
77.以PVC層作為導線的絕緣材料,再以PVC層作為外皮保護層之PVC電纜,其使用溫度不得 高於多少℃?(A)50(B)60(C)120(D)90。
78.三相感應電動機當全壓起動時起動電流為200安,若接自耦變壓器把電源電壓降低50%,則 線路之起動電流變為多少安?(A)40(B)75(C)100(D)50。
79.用電設備單獨接地之接地線或用電設備與內線系統共同接地之連接線,若過電流保護器之額 定或標置在100A時,其銅接地導線之最小線徑為多少平方公厘?(A)14(B)5.5(C)3.5(D)8。
80.工廠內裝有交流低壓感應電動機共五台,並接在同一幹線,其中最大容量的一台額定電流40 安,其餘4台額定電流合計為60安,則該幹線之安培容量應為多少安?(A)150(B)90(C)110(D)100。