所屬科目:捷運◆電子工程
5. 如右圖所示的電晶體電路,二極體之功用為 (A)溫度補償 (B)半波整流 (C)防止雜音 (D)保護電晶體
6. 如圖所示電路,a 與 b 兩端之間的諾頓(Norton)等效電流為何? (A) 2A (B) 3A (C) 6A (D) 8A
9. 若電壓,電流 i(t )=10cos(ωt-45o )A,則下列何者正確? (A) v 領先 i 90o (B) v 落後 i 90o (C) v 領先 i 180o (D) v 與 i 同相
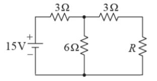
10. 如右圖所示之電路,若 R 已達最大功率消耗,則此時 R 之消耗功率為何? (A) 2.5W (B) 5.0W (C) 10.0W (D) 11.25W
13. 如右圖之直流電路,求其中電流 I=? (A) 3A (B)–3A (C) 1A (D)–1A
15. 如右圖所示電路,求 a、b 兩端的總電感 Lab =? (A) 3H (B) 4H (C) 5H (D) 6H
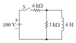
16. 如右圖所示電路,當開關 S 閉合時,求充電時間常數為多少? (A) 1ms (B) 2ms (C) 3ms (D) 4ms
17. 如右圖所示之電路,要讓負載有較大之消耗功率,負載電阻 RL 可選擇為多少? (A) 2 歐姆 (B) 10 歐姆 (C) 20 歐姆 (D) 30 歐姆
18. 下圖之並聯電阻電路中,試求三分枝電流的比例 I3:I2:I1=? (A) (B) (C)(D)
21. 右圖為一佈局圖,其中 a, b, c, d 皆為 Poly 層之輸入訊號,試問其邏輯函數(Logic function)為何? (A)(B) (C)(D)
23. 右圖為一對稱式之變壓器(Transformer),此變壓器之名稱為何? (A) Tapped transformer (B) Stacked transformer (C) Stacked transformer with offset (D) Interleaved transformer
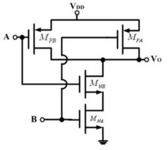
24. 如右圖所示電路,A 與 B 為輸入,Vo 為輸出, 則此電路可執行何種邏輯函數? (A) OR (B) AND (C) NOR (D) NAND
26. 如右圖所示之電路,此為何種型式之回授電路? (A)串-串 (B)並-並 (C)串-並 (D)並-串
30. 如右圖所示電路中,二極體 D1和 D2的導通電壓均為 0.7V。若 V1 為 - 9V,則 Vo 為 (A) - 8.3V (B) - 7.3V (C) - 6.3V (D) 0.7V
32. 如右圖所示之電路,此電路屬於何者濾波器? (A)低通濾波器 (B)帶通濾波器 (C)高通濾波器 (D)全通濾波器
33. 如右圖所示之電路,此電晶體之參數為 Vt=2V,μnCox=20μA/V2,通道長度為 10μm 與通道寬度為 100μm。則電阻值 R 為何? (A) 6.55kΩ (B) 5.55kΩ (C) 4.55kΩ (D) 3.55kΩ
34. 如右圖所示之電路,此電晶體之參數均為 Vt=1V,μnCox=40μA/V2,若 V1=5V 且 V2=2V,則電晶 體 M1,M2,M3 的寬長比(W/L)M1: (W/L)M2: (W/L)M3為何? (A) 2:5:10 (B) 10:5:1 (C) 1:4:16 (D) 1:2:4
35. 若右圖之運算放大器為理想,則 Vo 為何? (A) 3Vi (B) 4Vi (C) 5Vi (D) 6Vi
36. 右圖為磁通量密度與磁場大小之關係圖, 請問何者曲線代表鐵磁性材料? (A) 1 (B) 2 (C) 3 (D) 不能由該圖得到磁性材料之特性
37. 右圖為史密斯圖,圖中 A->B->C 為匹配電路之 匹配軌跡,試問其匹配電路為何種型式? (A)串 L 並 C (B)串 C 並 L (C)串 L 串 C (D)並 L 並 C
39. 如右圖所示之開路殘段匹配電路,所需之兩條傳輸線長度為 (0.147λ, 0.044λ),若將該條開路殘段傳輸線使用短路殘段傳 輸線取代,則所需之兩條傳輸線長度變為何? (A) (0.147λ,0.044λ) (B) (0.397λ,0.044λ) (C) (0.147λ,0.294λ) (D) (0.397λ,0.294λ)
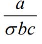
40. 如下圖所示,有一電流 I 流至一電阻性材料,其導電係數為σ, 尺寸為 ,則其等效電阻值為? (A) (B) (C) (D)
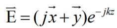
42. 電場 屬於何種極化? (A)左手楕圓極化 (B)右手楕手極化 (C)左手圓形極化 (D)右手圓形極化
43. 如右圖所示,已知該半圓形迴路之半徑為 a,則該迴路所受到的磁力為? (A) I 2aB ,向內 (B) I 2aB ,向外 (C) I 2 πaB ,向內 (D) I 2πaB ,向外
44. 如右圖所示,兩條四分之一波長的傳輸線 串接在一起,並接上一個負載 ZL,則圖中 之輸入阻抗 Zin為多少? (A)1/4ZL (B)1/2ZL (C) ZL (D)2ZL
45. 如圖所示,電偶極所產生之電位大小與觀察點之距離位置有何關係? (A)電位大小與距離一次方呈反比 (B)電位大小與距離二次方呈反比 (C)電位大小與距離三次方呈反比 (D)電位大小與距離四次方呈反比
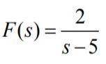
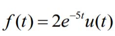
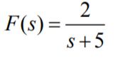
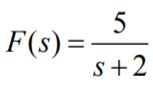
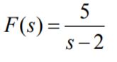
46. 有關步階函數 的拉氏轉換 F (s) ,下列選項何者正確? (A) (B) (C) (D)
47. 如果磁單極存在, 哪一個馬克士威方程式需要做修改? (A) (B) (C) (D)
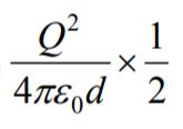
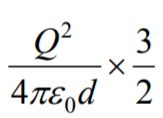
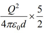
48. 如右圖所示,三個點電荷 Q,分別放置在(0,0,-d), (0,0,0)與(0,0,d)。 求此系統所儲存之電能。 (A) (B) (C) (D)
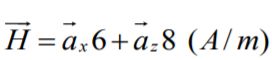
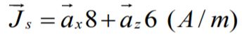
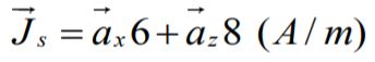
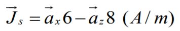
49. 如右圖所示,在真空中的一磁場強度為。試問 PEC 面上的電流密度為何? (A) (B) (C) (D)
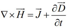
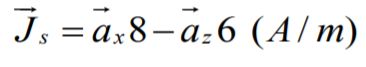
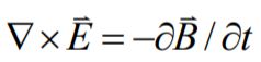
50. 為馬克斯威爾方程式之一,此方程式之物理意義為何? (A) Ampere’s Law (B) Gauss’s Law for electric field (C) Faraday’s Law (D) Gauss’s Law for magnetic field