所屬科目:捷運◆電子工程
(一)為合成之福斯特(Foster Network)網路,請就 串聯型與並聯型分別詳列計算式及畫出電路圖。(20 分)
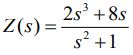
(二)求右圖之傳輸矩陣T(s)。(10 分)
四、數位邏輯 (共 15 分) 使用 NAND 閘來實現 Y= ,寫出以 NAND 表示的布林 邏輯函數式(5 分)及畫出線路圖(10 分)。