阿摩線上測驗
登入
首頁
>
工程數學(應用數學, 線性代數、微分方程、複變函數與機率)
> 103年 - 103 鐵路特種考試_高員三級_電子工程:工程數學#34272
103年 - 103 鐵路特種考試_高員三級_電子工程:工程數學#34272
科目:
工程數學(應用數學, 線性代數、微分方程、複變函數與機率) |
年份:
103年 |
選擇題數:
20 |
申論題數:
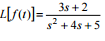
7
試卷資訊
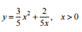
所屬科目:
工程數學(應用數學, 線性代數、微分方程、複變函數與機率)
選擇題 (20)
1 令 f 和 g 皆為可微分(differentiable)純量函數,則有關它們的梯度(gradient)與拉普拉斯算子 (Laplace operator)的等式,下列何者錯誤? (A)
(fg)=f
g+g
f(B)
(f/g)=(1/g
2
)(f
g-g
f)(C)(f
n
)=nf
n-1
f (D)
2(fg)=g
2
f+2
f
.
g+f
2
g
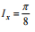
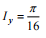
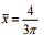
2 若 f (x, y) =1 為定義於下圖所示區域之質量密度,下列有關其質量M、重心(center of gravity,x , y )、及慣性矩 (moment of inertia,Ix, Iy)何者錯誤? (A)
(B)
(C)
(D)
3 圓錐曲面 Φ(x, y, z) =z-
=0 ,x, y 不全為 0,則下列有關梯度(gradient)敘述何者正確? (A)
(B)
(C)
(D)
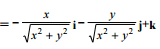
4 若函數 f (x, y,z) = 2xy + xe
z
,試求在點(1, 1, 1)之梯度(gradient):(A) (2 + 2e) i+2
j
+e
k
(B) (2 + 2e)
i
+ (2 + e)
j
+ (1+ e)
k
(C)(2+ e) i+2
j
+e
k
(D)(2+ 2e)
i
+2
j
+ (1+ e)
k
5
,c > 0 ,則 det(cA) 與 det(A) 的關係為何?(A) det(cA) =c‧ det(A)(B)det(cA) =-c‧ det(A)(C) det(cA)=c
2
‧ det(A)(D)det(cA)=-c
2
‧
det(A
6 已知
,試求其輔因子矩陣(matrix of cofactor)? (A)
(B)
(C)
(D)
7令矩陣A=
,試問 A 的秩(rank)為何?(A)1 (B)2 (C)3 (D)4
8 一矩陣 M 為 n×n 可逆實數矩陣,下列何者敘述錯誤? (A)若M 為對稱矩陣,則其特徵值(eigenvalue)必為實數 (B)若M 為對稱矩陣,則其必然是正交可對角化(orthogonally diagonalizable) (C)若M 為正交可對角化的(orthogonally diagonalizable)且其特徵值(eigenvalue)為實數,則 M 必然為 對稱矩陣 (D)M 之特徵向量(eigenvector)與 M
-1
之特徵向量不同
9 若 z
1
=1- i, z
2
=-2+4i, z
3
=
,求
之虛部值為? (A)
(B)
(C)4/7 (D)
10 下列複數數列何者為收斂?(註: i =
)(A)
(B)
(C)
(D)
11 請問 z =π 是複變函數
的幾階極點(pole)? (A)1 (B) 2(C) 3(D)4
12 設α(t) 為 y '(t) + 2y(t) =1 之解,則
等於何值? (A) 0(B)0.5 (C)1 (D)∞
13
? (A)0 (B)1 (C)2 (D)π
14 函數 f (t)=
之拉氏轉換(Laplace transform)為何?其中 u(t) 為單位步階(unit step)函數。(A)
(B)
(C)
(D)
15 拉普拉斯轉換
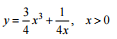
,求 f (0) = ?(A) 0(B)1 (C)2(D)3
16 下列何者為
之解?其中
。 (A)
(B)
(C)
(D)
17 定義傅立葉轉換(Fourier transform)為
,其中
,若 f (x) 之傅立葉轉 換為 F(ω) 。若 f '(x) 的傅立葉轉換存在,試問 f'(x)cos(ω0x) 的傅立葉轉換為何?((A)
(B)
(C)
(D)
18 令 X 為二項式分布(binomial distribution)隨求變數,其機率為
,其中 n =100, p = 0.2,求平均值 Ε(50- 2X) 為何? (A)5 (B)10 (C)20 (D)50
19 假設第一個袋子內有 4 個白球和 3 個黑球,第二個袋子內有 3 個白球和 5 個黑球。從第 1 個袋子中取出 一個球(隨意選取而且不被看到)並直接放入第二個袋子中。請問若從第二個袋子中隨意取出 1 個黑球 的機率為何? (A)18/63 (B) 20/63(C)5/9 (D)38/63
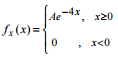
20 假定 X 為一隨機變數,其機率密度函數(density function)為
,求 A 為何? (A) 2(B)4 (C)6 (D)8
申論題 (7)
【已刪除】(一)
【已刪除】(二)
(3 分)
【已刪除】(三)
(3 分)
【已刪除】二、令 F = f
1
i
+ f
2
j
+ f
3
k
和 G = g
1
i
+ g
2
j
+ g
3
k
為兩向量場, 驗證
。(15 分)
(一)
f
(z) 對 2
i
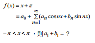
展開的泰勒級數(Taylor series)。(10 分)
(二)泰勒級數的收斂半徑。(5分)
【已刪除】四、求解
。(10 分)
相關試卷
114年 - 114 專技高考_電機工程技師:工程數學(包括線性代數、微分方程、複變函數與機率)#133679
114年 · #133679
114年 - 114 專技高考_電子工程技師:工程數學(包括線性代數、微分方程、向量分析、複變函數與機率)#133677
114年 · #133677
114年 - 114 調查特種考試_三等_電子科學組:工程數學#129578
114年 · #129578
114年 - 114 國家安全情報特種考試_三等_電子組(選試英文):工程數學#127780
114年 · #127780
113年 - 113 專技高考_電子工程技師:工程數學(包括線性代數、微分方程、向量分析、複變函數與機率)#123976
113年 · #123976
113年 - 113 專技高考_電機工程技師:工程數學(包括線性代數、微分方程、複變函數與機率)#123971
113年 · #123971
113年 - 113 調查特種考試_三等_電子科學組:工程數學#122110
113年 · #122110
113年 - 113 身心障礙特種考試_三等_電力工程:工程數學#119517
113年 · #119517
112年 - 112 地方政府特種考試_三等_電力工程、電子工程:工程數學#118376
112年 · #118376
112年 - 112 專技高考_電機工程技師:工程數學(包括線性代數、微分方程、複變函數與機率)#117639
112年 · #117639