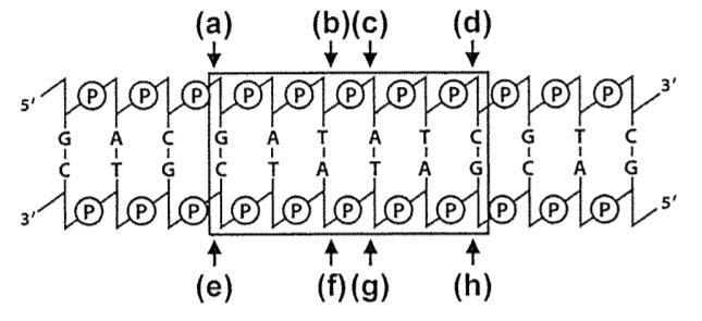
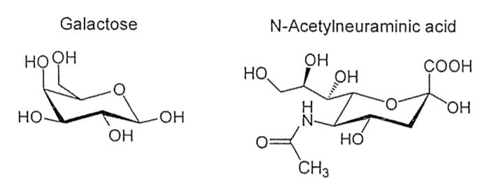
12. 丁he molecular structures of galactose and N-acetylneuraminic acid are shown as below. Please draw the α-2, 3-linked and α-2, 6-linked conjugations, composed by these two sugars, and point out which one can be recognized by the human influenza virus. (3 points)