題組內容
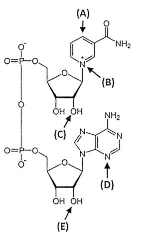
3. The schematic molecular structure of nicotinamide adenine dinucleotide (NAD+) is provided as below. Please answer the following questions.
3. The schematic molecular structure of nicotinamide adenine dinucleotide (NAD+) is provided as below. Please answer the following questions.