所屬科目:高中◆資優◆自然
1.蚜蟲會利用刺吸式口器吸食植物的光合作用產物, 因此為植物的害蟲。右圖為一隻蚜蟲正在吸食植物 的汁液示意圖,「甲」為運輸光合作用產物的構造, 下列相關敘述何者正確? (A)蚜蟲吸食的主要養分為葡萄糖 (B)曱中物質的運輸動力主要靠蒸散作用 (C)此植物一定是雙子葉植物 (D)—個維管束中,木質部在内側,甲構造在外側
2. 人體的「主動免疫反應是由自己的白血球產生抗體,「被動免疫」反應是由非自己的白血球
產生抗體。下列相關敘述何者錯誤? (A)
嬰兒透過母乳立即獲得的免疫力是屬於「被動免疫」 (B)得過水痘者痊癒後獲得的免疫力是屬於「被動免疫」 (C)注射流感疫苗獲得的免疫力是屬於「主動免疫」 (D)被毒蛇咬傷後注射蛇毒血清以中和毒素是屬於「被動免疫」
3. 生物學家常利用DNA序列研究物種間的親緣關係,DNA序列為四種核苷酸的排列,
四種核苷酸分別以A、T、C、G代表,核苷酸的排序越相同顯示親緣關係越接近。
生物學家研究甲~丁四種鳥類的親緣關係,採用粒線體DNA上某基因的部分序列,
依據下表粒線體DNA序列分析的結果,繪製出的親緣關係圖為下列何者?
(A)
(B)
(C)
(D)
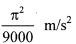
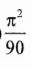
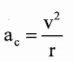
4.物體作圓周運動時,向心加速度(ae)與瞬時速度(v)的關係為,其中r為旋轉
半徑。若時鐘上的秒針針尖作等速率圓周運動,秒針長度為10cm,則在0秒時秒針
針尖的向心加速度大小為何?
(A)0(B)(C)(D)(E)
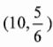
5. 太空人在月球表面進行了牛頓第二定律的相關實驗。如圖,在光滑水平桌面上,置 一質量為10kg的木塊A,由細繩連結跨過一不計質量的滑輪,分別施 10kgw的力及 吊掛 10kg 的木塊B,則木塊 A 在以下兩圖的加速度大小分別為 al、a2(m/s2),求 (a1,a2)=?
(地球表面的重力加速度g地=10m/s2,月球表面的重力加速度
(A)(10,5)(B)(C)(10,10) (D) (E)(5,5)
6. 質量為m的阿建,從距河面高度為H的懸崖處靜止跳下河中。已知河水對人的阻力
為定值f,今以河面為重力位能的零位面,則當阿建跳下並沉至離河面h的深度時,
他所具有的動能與重力位能的總和為何?(設地表附近所受的重力加速度為g) (A) mgH+h (B)-fh (C) mgH-fh (D)mg(H+h)-fh (E) 0
7.如圖所示,是由左向右行進的一週期波,其圖為波列的一部分波形。設此時t=0, P點的位置為yo。下列哪一項是P點位置隨時間變化的圖? (A)(B)(C)(D)(E)
8. 下圖是臺中港 2012年某段日期的潮汐水位變化圖,圖中的橫座標表示日期,則
3月8日(農曆2月16日)最可能為甲戌的哪一日?(A)甲(B)乙 (C)丙 (D)丁 (E)戊
9. 下圖是2015年7月13日晚上8點,往北方所看到臺北的星空,請問圖中哪一顆星
是北極星? (A)甲 (B)乙
(C)丙
(D)丁
(E)戊
''
10. 中央氣象局把影響臺灣的颱風路徑分成10類,如下左圖所示,而下右圖為某一颱風
移動路徑圖,此颱風路徑應屬哪一類? (A)第六類 (B)第七類 (C)第八類 (D)第九類 (E)其他類
11. 暑假到了,小建在澳洲東南方遊學,下圖為澳洲氣象局於2015年7月12日 21時(國
際標準時)的地面天氣圖,圖中有數值的實線為等壓線,灰階色塊為降水量。請問
在澳洲東南方約800 公里外海的天氣系統,其空氣在垂直方向與水平方向的正確流
向為何?
(A)(B)(C)(D)(E)
12. 有一瓶 50mL之鹽酸,測其pH 值為0.5(氫離子濃度3x10-1M),放入一顆5克的
胃藥後,再測量 pH 值,發現數值變為1.5。已知此胃藥中僅含有一種成份的制酸劑,
則有關下列胃藥制酸劑成分的分析何者最適切?
(A)成分應為 NaOH 且其佔一顆胃藥的重量比為10.8%
(B)成分應為 Mg(OH)2 且其佔一顆胃藥的重量比為8.41%.
(C)成分應為 AL(OH)3 且其佔一顆胃藥的重量比為7.02%
(D)成分應為Ca(OH)2且其佔一顆胃藥的重量比為9.99%
13. 已知1莫耳 MgOs完全溶於水後會放熱 8.8 kcal,反應式如下:
建國將80克的氧化鎂加入25°C、1公斤的水中。若盛水容器不傳熱,且Mg(OH)2(s)
14.定溫下,關於一可逆反應之敘述,何者正確?
(A)平衡時,各物質之濃度比[A]: [B]: [C]: [D]必為1:1:2:4
(B)平衡時,A的消耗速率=B的消耗速率=C的生成速率=D的生成速率
定容下,當氣體總壓不再變化,即可判定反應已達平衡
(D)定壓下,當各氣體分壓不再變化,即可判定反應已達平衡
15. 膽固醇是維持人體活動必需的醇類,其示性式為。而液晶顯示器中的液晶
物質,某一種結構屬於膽固醇酯,其化學式為.,試問要用何種有機酸方能
和形成此膽固醇酯? (A) (B) (C)(D)
16.
植物的氣孔並非只有「全開」或「全關」兩種 現象,在任何時間,氣孔開啟的程度,會受到 光照、溫度、水、CO2濃度等因素影響。右圖 為某一種植物在不同環境條件下, 氣孔孔徑大 小情形的示意圖(」所指處是以不同條件處 理該種植物)。下列相關敘述何者正確? (A)甲狀態時保衛細胞的膨壓比乙狀態時小
骤籍 (B)在炎炎夏日的正中午,氣孔會開得最大 (C)在黑暗中,低CO2濃度的處理,會促使氣孔打開 (D)若「X」箭頭為水的因素處理,則應是水分充足 (E)此種植物於正常情況下,氣孔應該是在晚上關閉
17.圖甲與圖乙為細胞內的兩種胞器,a~c為組成胞器的不同構造,下列相關敘述何者正確? (A)酵母菌以甲進行有氧呼吸 (B)藍綠菌以乙進行光合作用 (C) c可觀察到水被分解的反應 (D)氣體進出a與b的方式均為擴散作用 (E)甲與乙在複式顯微鏡下皆需要染色才可觀察到
18下圖為某生態系中能量透過食物鏈傳遞和散失的情況,其中甲〜丁為各階段散失的 能量,下列相關敘述何者正確? (A)跳蚤在此食物鏈中扮演三級消費者角色 (B)食物鏈中的可表示組成有機物的元素在不同物種之間傳遞 (C)甲、乙、丙、丁這些散失的能量可被此食物鏈循環再利用 (D)丁主要來自喜鵲進行排泄作用 (E)能量由生產者傳遞給初級消費者的百分比小於10%
19.已知之反應曲線如 右圖中的a所示。欲使反應如右圖中的b進行,則可採取 下列哪些措施?(若每次只改變一項變因) (A)升温(B)降溫(C)增大容器體積 (D)縮小容器體積 (E)加催化劑
20.元素R、X、T、Z、Q (均為基態)在元素週期表中的相對位置如下表所示,R元素 原子最外層電子數等於其電子層數的3倍,下列判斷正確的是? (A)X元素的最高氧化數含氧酸其酸性大於Z元素的最高氧化數含氧酸 (B)原子半徑:R<T<Z (C)Z的元素態分子具有毒性 (D)R、T、Q最高氧化數相同 (E)T元素沒有同素異形體
21.下圖為某處之地層剖面,已知此地層沒有上下倒置的現象。有關此處地質事件敘述 何者正確? (A)此處在A地層沉積前,就已經存在C斷層了 (B)在B地層沉積後,而A地層未沉積前,此地可能一度為陸地 (C)在B地層沉積後,而A地層未沉積前,此地的C斷層為正斷層 (D)A地層的沉積岩為礫岩、砂岩和頁岩,代表此地層沉積時,海水面逐漸下降 (E)此地變質岩的成因為A地層沉積後,使下部岩層受壓造成
23.小建騎著三輪車(如圖所示)上學,出家門行經華中橋,下橋 時放開雙腳讓三輪車順勢滑下,在萬大路上悠閒踩踏等速度前 進,騎進西藏路發覺快遲到用力踩踏加速直線前進,左轉進入 南海路後氣力用盡,愈踩車速卻愈慢。已知地面給前輪的摩擦 力為f1,給後輪的摩擦力為f2,試判斷在往建中途中,f1和f2 的方向與兩者大小關係,下列敘述哪些正確? (A)放開雙腳順勢滑下過程中,摩擦力方向f1< 向後、f2向後 (B)悠間踩踏等速度前進時,力向後、f2向後,且其大小為 f1=f2 (C)用力踩踏加速直線前進時,f1 向前、f2向後,且其大小為f1>f2 (D)氣力用盡愈踩車速愈慢的過程中,f1;向前、f2向後,且其大小為f1<f2 (E)整個往建中的過程中,均維持 f1 向前、f2向後
24.如圖所示,水平地面上有一不透光且邊長 為x的正方體,在正方體的左方地面上有 一點光源S,點光源和正方體的距離也為x, 今在點光源S上方距離H處水平放置平面 鏡,H大小固定不變,平面镜足夠大。不 考慮其他光源的存在,則圖中在正方體右 側地面的斜線部份,為點光源S發出的光線經平面鏡一次反射後而被照亮的區域。 現改變x的大小,當x增大到_____時,該照亮區域將消失。(3分)
26.在選購冷氣時,首重冷房能力與能源效率比,能源效率比指冷氣每單位消耗電力產 生多少單位的冷房能力,數值越高則用電越省。 常見有兩種表示單位:與COP 小建去賣場選購冷氣,甲品牌冷氣標,乙品牌冷氣標示COP =2.6,請 問哪一牌冷氣較省電,請用數據說明原因。(3分)
27.如圖,一平臺上裝設4個同規格燈泡,當 按下開關按鈕後,燈泡亮起但亮度不一。 若將A燈泡拔除,則D燈泡熄滅,而B、 C兩燈泡亮度相同;若將B燈泡拔除,則 其餘三燈泡亮度相同;若將C燈泡拔除, 則其餘三燈泡均熄滅,請嘗試繪出平臺内 部的電路設計圖。(4分)
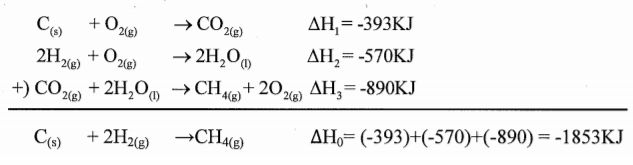
29.赫士定律(Hess’s Law或黑斯定律)定義如下:若一化學反應能以兩個或多個其他化學 反應方程式之代數和表示,則其反應熱為此數個反應熱之代數和。即反應熱與變化 所經之途徑無關,只依變化的最初及最終之狀態而定,亦稱為反應熱加成性定律。 下列數個反應即為赫士定律之應用: 今有一反應如下圖,請計算出圖中之值(需有計算過程)。(5分)