阿摩線上測驗
登入
首頁
>
天氣學
> 104年 - 104年升官天氣學(包括天氣分析與天氣預報)#41246
104年 - 104年升官天氣學(包括天氣分析與天氣預報)#41246
科目:
天氣學 |
年份:
104年 |
選擇題數:
0 |
申論題數:
5
試卷資訊
所屬科目:
天氣學
選擇題 (0)
申論題 (5)
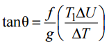
【已刪除】一、鋒面斜率的 Margules front formula 為
,說明此方程式中每一符號之 意義,並且討論鋒面斜率受到那些因素之影響。 (20 分)
二、以物理概念以及槽線隨高度之傾斜度變化公式,說明低壓或槽隨高度向冷區傾斜之 原因以及影響傾斜度之主要因素。 (20 分)
三、說明舉升凝結高度(LCL)、對流凝結高度(CCL)與自由對流高度(LFC)在天氣 分析與預報上之應用,並說明如何由探空斜溫圖得到這三個高度值。 (20 分)
四、200 hPa 天氣圖上常可以看到高空噴流之存在,說明為什麼高空噴流條(Jet Streak) 出區左側與入區右側易有天氣現象出現或天氣系統發展?(20 分)
五、氣象雷達是即時天氣分析的重要參考工具,說明如何利用氣象雷達之觀測資料來分 析颱風降水系統中之對流降水與層狀降水。(20 分)
相關試卷
115年 - 115 身心障礙特種考試_四等_氣象:天氣學概要(包括基礎天氣分析與基礎大氣動力學)#138926
115年 · #138926
114年 - 114 公務升官等考試_薦任_氣象:天氣學(包括天氣分析與天氣預報)#133183
114年 · #133183
114年 - 114 高等考試_三級_氣象:天氣學(包括天氣分析與天氣預報)#128450
114年 · #128450
114年 - 114 普通考試_氣象:天氣學概要(包括基礎天氣分析與基礎大氣動力學)#128408
114年 · #128408
113年 - 113 台灣電力公司_大學及研究所獎學金甄選試題_綠能氣象與再生能源預測:天氣學與氣候學#129318
113年 · #129318
113年 - 113 普通考試_氣象:天氣學概要(包括基礎天氣分析與基礎大氣動力學)#121220
113年 · #121220
113年 - 113 高等考試_三級_氣象:天氣學(包括天氣分析與天氣預報)#121201
113年 · #121201
112年 - 112 公務升官等考試_薦任_氣象:天氣學(包括天氣分析與天氣預報)#117117
112年 · #117117
112年 - 112 高等考試_三級_氣象:天氣學(包括天氣分析與天氣預報)#115403
112年 · #115403
112年 - 112 普通考試_氣象:天氣學概要(包括基礎天氣分析與基礎大氣動力學)#115322
112年 · #115322